Тензор гравитационного поля
Тензор гравитационного поля
— это антисимметричный тензор, объединяющий в одно целое две компоненты
гравитационного поля — напряжённость
гравитационного поля и поле кручения.
Он используется для описания гравитационного поля произвольной физической
системы и для инвариантной формулировки уравнений гравитации в ковариантной
теории гравитации. Гравитационное поле системы является компонентой общего поля.
Оглавление
|
Тензор
гравитационного поля определяется через гравитационный
4-потенциал поля
по формуле: [1]
[2]
![]()
Вследствие антисимметричности данной формулы разность двух ковариантных производных оказывается равной разности двух частных производных по 4-координатам.
Если учесть определение 4-потенциала гравитационного поля:
![]()
где
– скалярный потенциал,
– векторный потенциал гравитационного поля,
– скорость света, приблизительно равная скорости распространения гравитационного
воздействия,
и для
прямоугольных декартовых координат
ввести напряжённости гравитационного поля по
правилам:
![]()
![]()
где
есть напряжённость
гравитационного поля или гравитационное ускорение,
– поле
кручения,
то ковариантные компоненты тензора гравитационного поля согласно (1) будут иметь следующий вид:

Согласно
правилам тензорной алгебры, поднятие (опускание) индексов тензоров, то есть
переход от ковариантных компонент к смешанным и контравариантным компонентам
тензоров и обратно, осуществляется с помощью метрического тензора
. В частности,
, а также ![]()
В
пространстве Минковского метрический тензор превращается в тензор
,
не зависящий от координат и времени. В этом пространстве, используемом в специальной теории относительности,
контравариантные компоненты тензора гравитационного поля имеют вид:

Так как
векторы напряжённости гравитационного поля и поля кручения являются
компонентами тензора гравитационного поля, они преобразуются не как векторы, а
как компоненты тензора типа (0,2). Закон преобразования этих векторов при
переходе из неподвижной системы отсчёта
K в систему отсчёта K’, движущуюся со скоростью V
вдоль оси X, имеет вид:


В более общем
случае, когда скорость
системы отсчёта K’ относительно системы отсчёта K направлена
в произвольном направлении, а оси систем координат параллельны друг другу,
напряжённость гравитационного поля и поле кручения преобразуются так:
![{\mathbf {\Gamma }}^{\prime }={\frac {{\mathbf {V}}}{V^{2}}}({\mathbf {V}}\cdot {\mathbf {\Gamma }})+{\frac {1}{{\sqrt {1-{V^{2} \over c^{2}}}}}}\left({\mathbf {\Gamma }}-{\frac {{\mathbf {V}}}{V^{2}}}({\mathbf {V}}\cdot {\mathbf {\Gamma }})+[{\mathbf {V}}\times {\mathbf {\Omega }}]\right),](tgp.files/image013.gif)
![{\mathbf {\Omega }}^{\prime }={\frac {{\mathbf {V}}}{V^{2}}}({\mathbf {V}}\cdot {\mathbf {\Omega }})+{\frac {1}{{\sqrt {1-{V^{2} \over c^{2}}}}}}\left({\mathbf {\Omega }}-{\frac {{\mathbf {V}}}{V^{2}}}({\mathbf {V}}\cdot {\mathbf {\Omega }})-{\frac {1}{c^{2}}}[{\mathbf {V}}\times {\mathbf {\Gamma }}]\right).](tgp.files/image014.gif)
Первое
выражение есть свёртка тензора, а второе определяется как псевдоскалярный
инвариант. В последнем выражении используется символ Леви-Чивиты
для четырёхмерного пространства, являющийся
полностью антисимметричным единичным тензором, при его калибровке ![]()
![]()
Рассмотрим следующее выражение:
![]()
Равенство
(2) выполняется тождественно, что доказывается подстановкой в него определения
для тензора гравитационного поля согласно (1). Если в (2) в качестве
индексов
использовать неповторяющиеся сочетания
012,013, 023 и 123, и от потенциалов поля перейти к напряжённостям, то это
приводит к двум векторным уравнениям:
![]()
![]()
Уравнения (3) и (4) являются двумя из четырёх уравнений Хевисайда для напряжённостей гравитационного поля в Лоренц-инвариантной теории гравитации. Согласно (3), изменение во времени поля кручения создаёт круговое гравитационное ускорение, что приводит к эффекту гравитационной индукции, а уравнение (4) утверждает, что поле кручения, как и магнитное поле, не имеет источников. Уравнения (3) и (4) могут быть получены также из равенства нулю 4-вектора, находимого по формуле:
![]()
Другая пара уравнений гравитационного поля также выражается через тензор гравитационного поля:
![]()
где
есть
4-вектор
плотности массового тока, ρ0 – плотность вещества в сопутствующей системе
отсчёта,
– скорость
движения элемента вещества,
– гравитационная
постоянная.
В развёрнутом виде уравнения для напряжённостей поля с источниками поля имеют вид:
![]()
![]()
где
– плотность движущейся массы,
– плотность тока массы.
Согласно первому из этих уравнений, напряжённость гравитационного поля порождается плотностью вещества, а по второму уравнению круговое поле кручения всегда сопровождает ток массы либо возникает при изменении во времени вектора напряжённости гравитационного поля.
Гравитационная 4-сила,
действующая на массу
тела, может быть выражена через
тензор гравитационного поля и 4-скорость тела:
![]()
Данное выражение получается,
в частности, как следствие аксиоматического построения ковариантной теории
гравитации на языке 4-векторов и тензоров. [3]
Если взять ковариантную дивергенцию от
обеих частей в (5), то с учётом (1) получится: [4]
![]()
Уравнение непрерывности для массового 4-тока
является калибровочным условием, которое используется
для получения уравнения поля (5) из принципа наименьшего действия. Cвёртка тензора Риччи
и
тензора гравитационного поля
равняется
нулю:
, как следствие
антисимметричности
и
симметричности
.
В пространстве Минковского ковариантная производная превращается в частную
производную, и уравнение непрерывности становится таким:
![]()
Волновое
уравнение для тензора гравитационного поля выглядит следующим образом: [5]
![]()
Это
уравнение справедливо при условии, что тензор Риччи определяется как результат
свёртки метрического тензора и тензора кривизны в виде [6]
![]()
Если же
тензор Риччи определяется в виде [7]
![]()
то волновое
уравнение для тензора гравитационного поля будет таким:
![]()
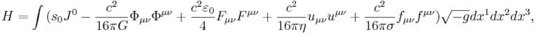
Полный Лагранжиан для вещества в гравитационном и электромагнитном
полях включает в себя тензор гравитационного поля и содержится в функции
действия: [4] [8]
![]()
![]()
где
–
функция Лагранжа или лагранжиан,
–
дифференциал времени используемой системы отсчёта,
–
некоторый коэффициент,
–
скалярная кривизна,
–
космологическая константа, характеризующая плотность энергии рассматриваемой
системы в целом, и потому являющаяся функцией системы,
–
скорость света, как мера скорости распространения электромагнитного и
гравитационного взаимодействий, электромагнитный 4-потенциал
,
где
есть
скалярный потенциал, а
является
векторным потенциалом,
–
электрический 4-ток,
–
электрическая постоянная,
–
тензор электромагнитного поля,
– 4-потенциал поля ускорений,
и
–
коэффициенты поля ускорений и поля давления, соответственно,
–
тензор ускорений,
–
4-потенциал поля давления,
–
тензор поля давления,
– инвариантный 4-объём,
выражаемый через дифференциал временной координаты
,
через произведение
дифференциалов
пространственных координат, и через квадратный корень
из
детерминанта
метрического
тензора, взятого с отрицательным знаком.
Варьирование функции действия по 4-координатам приводит к
уравнению движения элемента вещества в гравитационном и электромагнитном полях
и в поле давления: [5] [9] [10]
![]()
здесь первый член в правой части есть плотность гравитационной
силы, выраженная с помощью тензора гравитационного поля; второй член задаёт
плотность электромагнитной силы Лоренца с учётом инвариантной плотности заряда
; последний член определяет плотность силы
давления; величины
и
есть 4-скорость и 4-ускорение элемента
вещества.
Если варьировать функцию действия по гравитационному 4-потенциалу, получается уравнение
гравитационного поля (5).
С помощью тензора гравитационного поля в ковариантной теории гравитации строится тензор энергии-импульса гравитационного поля:
.
Ковариантная производная от тензора энергии-импульса гравитационного поля задаёт 4-вектор плотности гравитационной силы:
![]()
По
определению, обобщённый импульс
характеризует полный импульс элемента
вещества с учётом импульсов от гравитационного и электромагнитного полей. В
ковариантной теории гравитации обобщённая сила, как скорость изменения
обобщённого импульса по координатному времени, зависит в том числе и от
градиента от энергии гравитационного поля, связанного с элементом вещества и
определяемого тензором гравитационного поля. [11]
В
приближении слабого поля Гамильтониан как релятивистская энергия тела с массой
и с зарядом
равен:
![]()
![]()
Если использовать ковариантный 4-вектор обобщённой скорости
то в общем случае Гамильтониан имеет вид: [4]

где
и
обозначают временные компоненты 4-векторов
и
.
Если перейти в систему отсчёта, неподвижную относительно центра
масс системы, Гамильтониан будет определять инвариантную энергию системы.
Тензор гравитационного поля используется для определения в искривлённом пространстве-времени обобщённого
4-импульса; [12] энергии, импульса и 4-импульса физической
системы; [13] псевдотензора момента импульса. [14]
1. Федосин С.Г. Физика и философия подобия от
преонов до метагалактик, Пермь: Стиль-МГ, 1999, ISBN 5-8131-0012-1. 544 стр.,
Табл.66, Ил.93, Библ. 377 назв.
2.
Strel'tsov V.N. On the Lorentz-Covariant Theory of
Gravity. Apeiron, 1999, Vol. 6, Nr. 1–2, P. 55 – 61.
3. Федосин С.Г. Физические теории
и бесконечная вложенность материи, Пермь, 2009, 844 стр., Табл. 21, Ил.41,
Библ. 289 назв. ISBN 978-5-9901951-1-0.
4. 4.0 4.1 4.2 Fedosin S.G. About the cosmological constant, acceleration field, pressure field and energy. Jordan Journal of Physics. Vol. 9 (No. 1), pp. 1-30 (2016). http://dx.doi.org/10.5281/zenodo.889304; статья на русском языке: О космологической постоянной, поле ускорения, поле давления и об энергии.
5. 5.0 5.1 Fedosin S.G. Equations of
Motion in the Theory of Relativistic Vector Fields. International Letters of
Chemistry, Physics and Astronomy, Vol. 83, pp. 12-30 (2019). https://doi.org/10.18052/www.scipress.com/ILCPA.83.12. // Уравнения движения в
теории релятивистских векторных полей.
6. Фок В.А. Теория
пространства, времени и гравитации. 2-е издание. М.: Физматгиз, 1961. 568 с.
Fock V. A. The Theory of Space, Time and Gravitation (Pergamon Press, London,
1959).
7. Landau L.D., Lifshitz E.M. The Classical Theory of
Fields, (1951). Pergamon Press. ISBN
7-5062-4256-7.
8. Fedosin S.G. The Principle of Least Action in Covariant Theory of Gravitation. Hadronic Journal, Vol. 35, No. 1, pp. 35-70 (2012). http://dx.doi.org/10.5281/zenodo.889804; статья на русском языке: Принцип наименьшего действия в ковариантной теории гравитации.
9. Fedosin S.G. Four-Dimensional Equation of Motion for Viscous Compressible and Charged Fluid with Regard to the Acceleration Field, Pressure Field and Dissipation Field. International Journal of Thermodynamics. Vol. 18, No. 1, pp. 13-24 (2015). http://dx.doi.org/10.5541/ijot.5000034003; статья на русском языке: Четырёхмерное уравнение движения вязкого сжимаемого вещества с учётом поля ускорений, поля давления и поля диссипации.
10. Fedosin S.G. Two components of the macroscopic general
field. Reports in Advances of Physical Sciences, Vol. 1, No. 2, 1750002, 9
pages (2017). http://dx.doi.org/10.1142/S2424942417500025; статья на
русском языке: Две компоненты
макроскопического общего поля.
11. Fedosin
S.G. The Hamiltonian in Covariant Theory of Gravitation. Advances in Natural Science, Vol. 5, No. 4, pp. 55-75 (2012). http://dx.doi.org/10.3968%2Fj.ans.1715787020120504.2023
; статья на русском языке: Гамильтониан в
ковариантной теории гравитации.
12.
Fedosin
S.G. Generalized Four-momentum for Continuously Distributed Materials. Gazi
University Journal of Science, Vol. 37, Issue 3, pp. 1509-1538 (2024). https://doi.org/10.35378/gujs.1231793.
// Обобщённый 4-импульс для
непрерывно распределённого вещества.
13. Fedosin S.G. What should we understand by the four-momentum of physical system? Physica Scripta, Vol. 99, No. 5, 055034 (2024). https://doi.org/10.1088/1402-4896/ad3b45. // Что мы должны понимать под 4-импульсом физической системы?
14.
Fedosin
S.G. Lagrangian formalism in the theory of relativistic vector fields.
International Journal of Modern Physics A, Vol. 40, No. 02, 2450163
(2025). https://doi.org/10.1142/S0217751X2450163X. // Лагранжев формализм в
теории релятивистских векторных полей.
Источник: http://sergf.ru/tgp.htm