Ковариантная теория гравитации
Материал из свободной русской энциклопедии «Традиция»
Ковариантная теория гравитации (КТГ) – это
теория гравитации, опубликованная Сергеем
Федосиным в 2009 г. Она включает в себя расширенную
специальную теорию относительности, лоренц-инвариантную
теорию гравитации, метрическую теорию
относительности и закон всемирного тяготения Ньютона, и описывает
гравитацию как физическую силу, действующую на частицы вещества. Вещество,
гравитационное поле, а также и другие поля изменяют такие свойства волновых
квантов, как их скорость распространения и частота колебаний. Поскольку пространственно-временные
измерения осуществляются с помощью волн, то отсюда следует зависимость
наблюдаемых геометрических свойств пространства-времени от имеющихся в системе
отсчёта источников энергии и потоков энергии в виде вещества и поля. Данная зависимость
определяется уравнениями для метрики, образующими систему уравнений в частных
производных. В КТГ гравитационное поле является компонентой общего поля.
Как общая теория
относительности (ОТО) и
некоторые другие альтернативные теории гравитации, КТГ предсказывает изменение
течения времени, наблюдаемой геометрии пространства, траекторий движения
падающих тел, распространения света. Однако имеется различие между
предсказаниями ОТО и КТГ в описании таких например эффектов, как гравитационное
замедление времени, гравитационное красное смещение длины волны, задержка
сигнала в гравитационном поле. Данное различие соотносится с поправкой,
содержащей четвёртую степень скорости света, в пределах которой все тесты ОТО в
отношении волновых сигналов дают те же результаты, что и КТГ. Если в ОТО
гравитация есть следствие искривления пространства-времени источниками энергии
и потоков энергии, то в КТГ
гравитация появляется как результат действия гравитонов на вещество в рамках
модернизированной теории гравитации Лесажа. Потоки гравитонов влияют также на
распространение волн и следовательно на эффективную метрику
пространства-времени вблизи источников энергии и потоков энергии, так что в КТГ геометрия является
вторичной по отношению к физике явлений. В слабых полях и при малых скоростях
движения КТГ переходит в ЛИТГ. Поскольку уравнения ЛИТГ подобны уравнениям
электродинамики Максвелла (смотри максвеллоподобные гравитационные
уравнения), которые
успешно проквантованы, то это позволяет проквантовать и уравнения
гравитационного поля ЛИТГ в рамках квантовой гравитации.
Среди астрофизических применений КТГ, так же как и ОТО, на основе эффекта
отклонения света в гравитационном поле предсказывает явление гравитационного
линзирования, когда появляются многочисленные изображения одного и того же
удалённого астрономического объекта. КТГ предполагает гравитационное излучение
от отдельных ускоренных массивных тел, причём оно может носить и дипольный
характер (тогда как в ОТО всегда рассматривается только квадрупольное и
мультипольное излучения). Однако ускорение одного тела всегда предполагает
противоположное ускорение других тел системы, так что в полном излучении
системы тел дипольная компонента исчезает.
|
Содержание ·
1 История ·
2 Переход от классической физики к КТГ o
2.1 Гравитация Ньютона o
2.2 Релятивистское обобщение o
2.3 Общая относительность o
2.4 Соотношения КТГ ·
3 Сущность КТГ o
3.1 Основные определения и свойства o
3.2 Решение уравнений o
3.3 Принцип наименьшего действия o
3.4
Гравитационный эффект Ааронова-Бома o
3.5 Функция
Гамильтона o
3.6 Энергия, импульс, 4-импульс и инерциальная масса o
3.7 Обобщённый 4-импульс o
3.8 Псевдотензор момента импульса ·
4 Следствия теории o
4.1 Эффекты, связанные с распространением волн o
4.2 Гравитационные волны o
4.3 Орбитальные и спиновые эффекты § 4.3.1 Прецессия перигелиев орбит § 4.3.2 Взаимодействие спинов § 4.3.3 Орбитальный эффект
Лензе-Тирринга § 4.3.4 Геодезическая прецессия § 4.3.5 Эффект «Пионеров» o
4.4 Пространство-время ·
5 Астрофизические применения o
5.1 Чёрные дыры o
5.2 Космология o
5.3 Проблема массы o
5.4 Релятивистская однородная модель o
5.5 Модель гравитационного равновесия o
5.6 Уравнение Навье-Стокса o
5.7 Сравнение КТГ с общей теорией
относительности ·
6 Ссылки ·
7 См. также ·
8 Внешние ссылки |
Первым
шагом на пути построения КТГ было представление Федосиным полной теории лоренц-инвариантной теории гравитации
(ЛИТГ) в книге 1999 г. [1] ЛИТГ справедлива для инерциальных систем
отсчёта и описывает все гравитационные эффекты, связанные с запаздыванием
распространения гравитации и с
гравитационным полем кручения.
В 2002 г. появилась вторая книга Федосина, посвящённая
развитию теории относительности. [2] В ней были сформулированы
аксиомы расширенной специальной теории
относительности (РСТО). В РСТО доказывается, что постоянство скорости света
во всех инерциальных системах отсчёта, предполагаемое специальной теорией относительности (СТО),
является результатом самой процедуры пространственно-временных измерений, в
которых используется всегда двустороннее
распространение света (электромагнитной волны). Это приводит к усреднению
скорости волны во всех направлениях, независимо от истинной скорости света и
скорости движения системы отсчёта, делая эффективную скорость света постоянной
для каждого наблюдателя. Согласно РСТО можно рассматривать такую изотропную
систему отсчёта, в которой потоки гравитонов имеют одинаковую интенсивность со
всех сторон. Данную систему отсчёта можно считать неподвижной относительно электрогравитационного вакуума как среды,
состоящей из потоков гравитонов. В РСТО также показывается, что теория
относительности как теория, позволяющая пересчитывать результаты измерений
координат, времени и физических величин из одной системы отсчёта в другую,
зависит от волнового представления, то есть от типа и свойств волны,
используемой для пространственно-временных измерений. Данная зависимость
выражается в частности через множитель Лоренца вида
содержащий
эффективную скорость волны
зависящую от свойств среды (например, от показателя преломления среды), и
скорость движения
системы
отсчёта как её среднюю скорость за период волны.
В статье 2007 г. [3] Федосин проводит глубокую аналогию между электромагнитным и гравитационным полями, рассматривает подобие их уравнений и тот вклад, который должны вносить поля как источники энергии и потоков энергии в результат определения метрики пространства-времени через уравнения Гильберта-Эйнштейна. Ещё одна статья 2008 г. [4] рассматривает нарушение принципа эквивалентности, являющегося методологической основой ОТО, в применении к массе-энергии гравитационного поля. Следующая статья посвящена рассмотрению феномена гравитации в концепции гравитонов (теория гравитации Лесажа) в рамках теории бесконечной вложенности материи. [5]
На основе представлений о гравитации как силовом взаимодействии, возникающем от действия гравитонов и подчиняющемся условию лоренц-инвариантности в инерциальных системах отсчёта; условности и конвенциональности постоянства скорости света, вытекающей из процедуры измерений; зависимости результатов пространственно-временных измерений от типа и свойств используемой волны; предположения об одинаковой скорости распространения гравитационных и электромагнитных волн, основанного на модели электрогравитационного вакуума и предполагаемых структур соответствующих фотонов, в книге 2009 г. Федосин строит КТГ с помощью постулированных им аксиом метрической теории относительности (МТО) и ковариантных силовых уравнений движения, пригодных для всех возможных систем отсчёта. [6] В структуру КТГ входят также уравнения гравитационного поля из ЛИТГ, но обобщённые на любые системы отсчёта путём замены метрического тензора плоского пространства-времени Минковского на метрический тензор искривлённого пространства-времени, и использующие операцию ковариантного дифференцирования.
Так же как и в ОТО, в КТГ наиболее сложным является нахождение точных решений уравнений для определения компонент метрического тензора. Решение данных уравнений в КТГ значительно сложнее, чем в ОТО, поскольку в КТГ в отличие от ОТО учитывается собственное гравитационное поле тела, изменяющее метрику как внутри, так и за пределами данного тела. Одно из точных решений, определяющее метрический тензор за пределами одиночного тела сферической формы, нашёл сам Федосин. [6] [7] [8] Пользуясь данным решением, он описал в рамках КТГ аномальные прецессии перигелия планет, включая Меркурий; отклонение релятивистских частиц, радиосигналов и света звёзд, проходящего вблизи поверхности Солнца; аномальное ускорение «Пионеров»; гравитационное красное смещение; гравитационное замедление времени; эффекты, связанные со спином, генерирующим поле кручения.
Переход от классической физики к КТГ
Ковариантная теория гравитации должна рассматриваться в нескольких аспектах. С одной стороны, КТГ есть теория гравитационного поля. С другой стороны, КТГ описывает взаимодействие гравитационного поля с веществом, причём гравитационная сила согласно второму закону Ньютона приводит к ускорению тел. Кроме этого, гравитационное поле и другие источники энергии и потоков энергии оказывают влияние на распространение волновых квантов, изменяют их скорость, энергию и частоту. Это приводит к эффективному искривлению пространства-времени и к отклонению вида метрического тензора от его величины в плоском пространстве-времени Минковского. В свою очередь, метрический тензор и его производные по координатам участвуют в определении гравитационной силы и величин, характеризующих гравитационное поле и движение тел, с точки зрения координатного наблюдателя, в системе отсчёта которого вычисляется метрика.
Гравитация Ньютона
Согласно классической механике движение физических тел описывается как комбинация свободного движения по инерции и некоторого отклонения от него. Причиной отклонения являются различные силы, действующие на тела. В силу второго закона Ньютона величина силы определяется произведением массы тела на его ускорение. По закону тяготения Ньютона, между двумя любыми телами возникает сила гравитационного притяжения, пропорциональная массам тел и обратно пропорциональная квадрату расстояния между ними. Поэтому траектория пробной частицы вблизи массивного тела отклоняется от прямой линии, а скорость изменяется под действием гравитационного ускорения. Ввиду пропорциональности гравитационной силы гравитационной массе пробных частиц, последние будут двигаться с одним и тем же ускорением вблизи массивного тела. Это значит, что траектории свободного падения частиц зависят от начального положения и начальной скорости, но не от массы частиц или их физического или химического состава. Данное свойство гравитации определяют как принцип универсальности свободного падения (в ОТО это называется слабый принцип эквивалентности), и связывают его с принципом эквивалентности пассивно-гравитационной и инертной масс.
Последний принцип можно пояснить следующим образом. Вследствие одинаковости гравитационного ускорения массы пробных частиц на поверхности массивного тела (например, в лаборатории на Земле) можно определить простым взвешиванием (чем больше сила тяжести, тем больше масса, в данном случае пассивно-гравитационная). Затем любые негравитационные силы, которые придают пробным частицам ускорение, равное ускорению земного падения, можно приравнять по их действию к соответствующим гравитационным силам. Так как во втором законе Ньютона для негравитационных сил стоит так называемая инертная масса, то из равенства гравитационных и негравитационных сил и ускорений вытекает равенство гравитационной и инертной масс. Другими словами, при соответствующей калибровке сил и ускорений обе массы можно приравнять друг другу.
Для ньютоновского пространства-времени характерна геометрия Евклида и независимость течения времени от пространственных координат или скоростей тел. Пространство и время не зависят ни от друг друга, ни от материальных тел, ни от движения этих тел. Преобразования времени и координат из одной системы отсчёта в другую осуществляются с помощью преобразований Галилея, при которых сами измерения времени и координат осуществляются механическим способом, а не с помощью электромагнитных волн. Для синхронизации часов в каждой системе отсчёта их переносят из начала системы отсчёта в остальные точки с бесконечно малой скоростью. При этом принимается, что скорость передачи взаимодействия посредством силового поля является бесконечно большой.
Релятивистское обобщение
Появление в начале 20 века специальной теорией относительности (СТО) заметно изменило классическую механику и теорию тяготения как её часть, придав им релятивистский вид. Преобразования Галилея классической механики были заменены преобразованиями Лоренца. Ранее независимые друг от друга пространство и время были объединены в единый континуум, получивший название пространство Минковского. Математически это выразилось в превращении временной координаты (умноженной на скорость света для сохранения размерности) и трёхмерного вектора положения точки в один четырёхмерный вектор, характеризующий некоторое событие в четырёхмерном пространстве Минковского. Скалярные и 3-векторные физические величины стали объединяться в 4-векторы и тензоры, для получения значений которых в разных инерциальных системах отсчёта следовало пользоваться преобразованиями Лоренца (в общем случае, при наличии сдвигов и поворотов систем отсчёта, применяются преобразования Пуанкаре). Благодаря данным нововведениям, механика стала совместимой с электродинамикой и концепцией проведения любых пространственно-временных измерений с помощью электромагнитных волн, имеющих конечную скорость своего распространения. Это позволило точно описывать движения частиц даже при скоростях, близких к скорости света, и явления с выделением энергии, сравнимым с энергией покоя.
В теории гравитации СТО привела к созданию лоренц-инвариантной теории гравитации (ЛИТГ). В инерциальных системах отсчёта сила гравитации должна преобразовываться лоренц-инвариантным образом, как и любая другая сила. Если есть физическая система с массивным телом и пробными частицами, то наблюдатель может сделать свою систему отсчёта инерциальной с помощью дополнительных сил, уравновешивающих силу гравитации. Для такого наблюдателя движущееся тело создаёт не только напряжённость гравитационного поля, но и поле кручения, дополнительно действующее на движущиеся пробные частицы. Уравнения ЛИТГ имеют релятивистский вид и подобны уравнениям Максвелла в электродинамике. [9] Закон тяготения Ньютона является частным случаем ЛИТГ.
Уточнение сущности СТО осуществляется в расширенной специальной теории относительности, как описано выше в историческом разделе.
Общая относительность
Основная статья:
Метрическая теория относительности
Переход от инерциальных к произвольным системам отсчёта означает переход от специальной (частной) относительности инерциальных систем отсчёта к общей относительности ускоренных систем отсчёта. В случае, если на систему отсчёта действует сила, система отсчёта начинает ускоряться и не может более считаться инерциальной. При наличии ускорения связь между физическими величинами в разных системах отсчёта через преобразования Лоренца становится неточной и требует коррекции. Ситуация ещё более усложняется, когда не только на систему отсчёта, но и на всю имеющуюся в ней материю действует вездесущая сила гравитации. Примером является уединённое массивное тело, возле которого траектории движения пробных частиц отклоняются от прямых, получив особое название — геодезические линии.
Общая относительность содержится в ОТО, в которой сила гравитации и отличие геодезических от прямых линий считаются следствием искривления пространства-времени вблизи тел. Соответственно, плоское пространство Минковского при наличии гравитации выглядит как псевдоримановое искривлённое пространство-время. При свободном падении частиц вблизи массивного тела у частиц увеличивается как скорость движения, так и действующее на них гравитационное ускорение. Несмотря на это в ОТО полагают, что в свободно падающей системе отсчёта выполняются те же законы, что и в инерциальной лоренцевой системе отсчёта. В данном частном случае общая относительность мало отличается от специальной относительности, на что указывают некоторые эксперименты с распространением света, например гравитационное красное смещение. Предположение о лоренцевости свободно падающих систем отсчёта называется в ОТО принципом эквивалентности Эйнштейна. Оно означает, что падающий наблюдатель с помощью внутренних экспериментов может и не узнать, падает ли он в однородном гравитационном поле или движется по инерции без такого поля. Очевидно, что это предположение является лишь идеализацией и в реальности может не выполняться. Например, при свободном падении заряженного пробного тела за счёт изменения ускорения падения по закону обратного квадрата расстояния между притягивающим центром и телом, возникает электромагнитное излучение, пропорциональное заряду тела, отсутствующее в инерциальных лоренцевых системах.
Общим свойством гравитационного поля можно считать замедление в нём хода электромагнитных часов по сравнению с такими же часами вне гравитационного поля. Это следует из уменьшения скорости распространения света по мере его приближения к массивным телам. Также сокращаются видимые размеры тел в направлении градиента гравитационного поля. В отличие от СТО, при наличии гравитации вектор положения уже не является настоящим 4-вектором, а основную роль играют 4-векторы смещения (сдвига положения). Это означает невозможность использования интегральных преобразований Лоренца для физических величин. В частности, преобразованиям из одной системы отсчёта в другую подвергаются не сами время и координаты событий, а дифференциалы времени и координат вблизи этих событий.
В ньютоновской теории имеется принцип эквивалентности ускорений: если всем телам системы отсчёта придать одинаковое ускорение, то в механическом отношении это эквивалентно действию некоторого однородного гравитационного поля, создающего во всех точках пространства одно и то же гравитационное ускорение. Эйнштейн распространил этот принцип и на немеханические явления. Исходя из этого принципа Федосиным была определена метрика внутри равномерно ускоренной системы отсчёта.[6] Это позволило найти связь между координатами и временем в ускоренной и неподвижной системах отсчёта. В частности оказалось, что в ускоренной системе отсчёта поперечные размеры визуально уменьшаются, вдоль направления ускорения тела удлиняются, а в разных точках ускоренной системы время течёт по-разному относительно начала координат.
Основной характеристикой, задающей геометрию искривлённого пространства-времени, является метрический тензор. С его помощью можно вычислить тензор кривизны Римана, а также коэффициенты связности, определяющие параллельный перенос вектора в искривлённом пространстве-времени. В общем случае метрический тензор является функцией от времени и координат. Вследствие своих свойств метрический тензор входит в уравнения движения пробных частиц и волновых квантов, учитывается в вычислениях пространственно-временных параметров и при измерениях в гравитационном поле, а также при пересчёте физических величин из одной системы отсчёта в другую.
Обобщением общей относительности является метрическая теория относительности (МТО), целью которой становится выражение общей относительности явлений в разных системах отсчёта с помощью метрики. В МТО подчёркивается, что геометрия пространства-времени не абсолютна, она зависит от свойств пробных частиц и волновых квантов, используемых для пространственно-временных измерений и фиксации метрики. Метрика может зависеть от скорости движения пробных частиц и даже различаться для частиц и волновых квантов. По определению в МТО, квадрат интервала равен нулю, если он связан с двумя близкими событиями на мировой линии пробных частиц (волновых квантов), используемых для осуществления пространственно-временных измерений. В этом случае скорость пробных частиц (волновых квантов) входит в выражения для 4-векторов и тензоров, так что физические величины определяются в соответствующем волновом представлении.
Теоретически скорости распространения света и гравитационных возмущений могут различаться, что может дать два различных представления — для электромагнитных и гравитационных волн соответственно. Как и в ОТО, метрика в МТО находится с помощью соответствующих уравнений для метрики и зависит от всех имеющихся в системе отсчёта источников энергии и потоков энергии. Важным отличием МТО от ОТО является то, что и само гравитационное поле массивного тела, как и любое другое поле, становится источником энергии и потоков энергии и участвует в определении метрики. Если в ОТО зависимость метрики от времени и координат как бы порождает гравитацию, то в МТО это означает, что гравитация есть не следствие искривления пространства-времени, а наоборот, гравитация сама приводит к такой зависимости метрики. В таком случае метрика показывает, как под действием источников энергии и потоков энергии возникает отличие явлений от их вида в пространстве Минковского, в частности благодаря изменению скорости и частоты электромагнитных волн и их отклонению вблизи массивных тел, изменению хода времени и т. д. СТО, РСТО и общая относительность в ОТО, являются частными случаями МТО.
Соотношения КТГ
Гравитационное поле в КТГ рассматривается как векторное поле, и потому для него будет справедливо каждое уравнение векторного поля. [10]
КТГ включает в себя три компоненты:
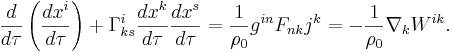
Ковариантные уравнения гравитационного поля имеют вид:
![]()
![]()
где
есть тензор
гравитационного поля;
есть
массовый 4-ток, порождающий гравитационное поле;
есть
4-скорость элемента вещества в искривлённом пространстве-времени;
—
4-вектор смещения;
—
дифференциал собственного времени;
—
плотность вещества в системе отсчёта, покоящейся относительно вещества;
— гравитационная
постоянная;
— скорость света.
В отличие от теории тяготения Ньютона, где источником гравитационной силы считается масса тел, в релятивистской механике плотность массы входит в тензор плотности энергии-импульса, учитывающий энергии движения и давления в элементах вещества. Данный тензор используется в ОТО для определения метрики внутри вещества. В КТГ дополнительно используется ещё тензор энергии-импульса гравитационного поля, не равный нулю даже за пределами вещества. В результате уравнение для метрики можно записать так:[11]
![]()
где
— тензор
Риччи, являющийся свёрткой тензора кривизны Римана,
— скалярная
кривизна,
—
метрический тензор,
—
коэффициент, подлежащий определению,
— тензор энергии-импульса поля ускорений,
— тензор энергии-импульса поля давления,
— тензор энергии-импульса гравитационного поля,
—
тензор энергии-импульса электромагнитного поля.
За пределами вещества в соответствии с процедурой
калибровки энергии и метрики обращаются в нуль как космологическая
постоянная, так и скалярная кривизна, а также тензоры
и
. [12] В
результате уравнение для метрики упрощается:
![]()
Уравнение движения для частиц имеет следующий вид: [10] [13] [14] [15]
![]()
с учётом выражения для 4-вектора плотности силы
(смотри 4-сила) через
ковариантную производную от тензора плотности энергии-импульса поля ускорений,
и через оператор производной по собственному времени от
4-потенциала
поля
ускорений в римановом пространстве
![]()
где
—
инвариантная плотность массы элемента вещества,
—
4-скорость,
—
4-ускорение элемента вещества,
— тензор
ускорений,
—
собственное динамическое время частицы в системе её покоя,
—
электромагнитный тензор,
— тензор поля
давления,
есть
4-вектор плотности электромагнитного тока,
—
плотность электрического заряда элемента вещества в системе его покоя.
В КТГ считается, что обычные гравитационные и
электромагнитные силы на волновые кванты действуют особым образом, поля в
основном изменяют их скорость и частоту. Это связано с близостью к нулю массы
покоя и заряда квантов, что приводит к обнулению плотностей
,
и
соответственно 4-векторов
и
для
квантов, и к ослаблению действия сил на кванты от напряжённостей внешних полей.
Поэтому ковариантные производные от тензоров плотности
энергии-импульса гравитационного и электромагнитных полей, задающие
соответствующие силы для квантов, будут невелики. С другой стороны, для
электромагнитных волн интервал принимается равным нулю:
,
что отражает тот факт, что эти волны используются для пространственно-временных
измерений (смотри также третью аксиому метрической теории относительности).
Поскольку для квадрата интервала выполняется
соотношение:
,
то для волн дифференциал собственного времени
также
будет равен нулю. Если в уравнении движения (2) полагать
точно
равным нулю, то в уравнении возникнет неопределённость. Уйти от этой
неопределённости можно умножением уравнения (2) на квадрат дифференциала
,
с последующим делением на квадрат дифференциала
,
где
является
временным параметром, отмечающим положение волнового кванта на его траектории.
При этом правая часть уравнения (2) обращается в нуль из-за наличия равного
нулю множителя в виде дифференциала собственного времени
,
и для электромагнитных волн уравнение движения приобретает следующий вид:

Полученное в результате уравнение движения имеет тот
же самый вид, что и в ОТО для волн на нулевой геодезической линии. При выводе
(3) было учтено, что для твердотельных точечных частиц и волновых квантов
4-потенциал поля ускорений и 4-скорость равны друг другу,
.
Кроме этого, поскольку
,
выполняется равенство:
![]()
Сущность КТГ
Основные определения и свойства
Как и ОТО, КТГ является метрической теорией гравитации. В отличие от ЛИТГ, удовлетворяющей лишь преобразованиям Лоренца, уравнения гравитационного поля КТГ записаны в ковариантном виде и удовлетворяют любым преобразованиям, возможным для систем отсчёта. Ковариантными являются и уравнения движения для частиц и волновых квантов (ковариантность здесь означает, что уравнения записаны в тензорном виде, пригодном для любых систем отсчёта). Прежде, чем находить физические величины, характеризующие гравитационное поле или движение пробных частиц, необходимо определить метрический тензор, соответствующий распределению источников энергии и потоков энергии в рассматриваемой системе отсчёта. С этой целью используются соответствующие уравнения для метрики.
Согласно аксиоматике КТГ источником гравитационного
поля является массовый 4-ток
,
а само поле характеризуется гравитационным 4-потенциалом
,
где
есть
скалярный потенциал, а
является
векторным потенциалом. Через 4-вектор
ковариантным
образом определяется антисимметричный тензор гравитационного поля:
.
В свою очередь, тензор
позволяет
определить тензор энергии-импульса гравитационного поля:
.
В КТГ гравитация является реальной физической силой, которая может быть объяснена в рамках теории гравитации Лесажа, как результат действия потоков гравитонов на вещество. Под действием потоков гравитонов вблизи массивных тел среда, в которой распространяются волновые кванты, меняет свои свойства таким образом, что скорость распространения и частота квантов становятся зависящими от гравитационного потенциала.
Уравнения гравитационного поля КТГ записаны на языке 4-векторов и тензоров второго ранга. В силу принципа соответствия в слабом поле эти уравнения переходят в уравнения ЛИТГ, справедливые в специальной теории относительности (СТО). В свою очередь, для неподвижных тел и при нулевом векторном гравитационном потенциале, уравнения ЛИТГ могут быть представлены как одно уравнение для скалярного гравитационного потенциала, точно переходящее в уравнение Пуассона для гравитационного потенциала классической физики.
После того, как удалось записать в явном виде аксиомы общей теории
относительности (ОТО), стало возможным произвести их сравнение с
системами аксиом метрической теории относительности (МТО) и КТГ. [16]
[17] При этом
оказывается, что уравнения движения ОТО являются частным случаем уравнений
движения КТГ.
Интегральная теорема
энергии поля для
гравитационного поля в искривлённом пространстве-времени выглядит следующим
образом: [18]
![]()
Вывод обобщённой теоремы Пойнтинга и решение проблемы 4/3 в присутствии гравитационного поля описываются в статье. [19]
Решение уравнений
Сравнение уравнений движения для частиц в КТГ и в ОТО
показывает их существенное различие. Уравнение движения в ОТО для частиц с
учётом электромагнитного поля и его тензора энергии-импульса
имеет
вид:

Данное уравнение движения не пригодно
для описания реактивного движения. Между тем, если в уравнении (2)
движения КТГ плотность вещества
внести под знак производной, то при условии
для
твердотельного движения в уравнении появится скорость изменения плотности
импульса элемента вещества за счёт изменения плотности. Если эта плотность
меняется со временем, то её производная будет задавать член для реактивной
силы, аналогичный известной формуле Мещерского в классической механике для тел
переменной массы.[20] Уравнение движения КТГ имеет смысл закона
сохранения энергии-импульса вещества, находящегося под действием сил в
электромагнитном, гравитационном и других полях. В противоположность этому,
уравнение движения ОТО отражает лишь принцип эквивалентности (ускорение падения
равно ускорению, происходящему от искривления пространства-времени и от
негравитационных сил), и не связано с законом сохранения энергии-импульса.
Поэтому в ОТО отсутствует однозначный предельный переход в СТО, то есть в
случай слабых полей, который был бы основан на принципе соответствия и законах
сохранения физических величин типа энергии, импульса и момента импульса.[21]
При наличии движущегося вещества и распространяющихся волн решение уравнений КТГ существенно усложняется. За счёт движения источников энергии и потоков энергии и их взаимодействия между собой метрический тензор в рассматриваемой системе отсчёта становится зависящим от времени. Это приводит к изменению движения вещества и волн, и к изменению напряжённостей полей, в том числе и за счёт вклада от меняющегося метрического тензора. Вследствие этого уравнения гравитационного поля, уравнения для метрики и уравнения движения оказываются связанными, и их следует решать одновременно. Поскольку эти уравнения содержат частные производные вплоть до второго порядка, точное решение возможно лишь в некоторых частных случаях.
Например, метрика вблизи массивного тела с учётом энергии и потоков энергии его гравитационного и электромагнитного поля была вычислена Федосиным в работах [6] [7] При этом вклад в метрику и в общее гравитационное поле от пробных частиц считался пренебрежимо малым, так что движение частиц управляется лишь гравитацией массивного тела. Стандартным выражением для квадрата интервала между двумя близкими точками во всех метрических теориях является следующее:
![]()
Подстановка в это выражение значений компонент
метрического тензора, найденных для пространства за пределами уединённого
массивного тела, в четырёхмерных сферических координатах
даёт:
![]()
где
есть временная компонента
метрического тензора,
и
обозначают
массу и заряд тела.
В статье [8] в рамках релятивистской однородной модели были вычислены компоненты метрики внутри сферического тела в следующем виде:
![]()
где
–
гравитационная постоянная;
–
коэффициент, подлежащий определению;
–
радиальная координата;
–
скорость света;
–
инвариантная плотность массы частиц вещества, движущихся внутри сферы;
–
фактор Лоренца движения частиц в центре сферы;
–
гравитационный потенциал на поверхности сферы с радиусом
и
гравитационной массой
;
величины
и
являются вспомогательными
величинами;
–
инвариантная плотность зaряда частиц вещества, движущихся внутри сферы;
–
электрический потенциал на поверхности сферы с электрическим зарядом
сферы
;
–
потенциал поля давления в центре сферы.
На поверхности тела при
компонента
метрического
тензора внутри тела должна равняться компоненте
метрического
тензора за пределами тела в (4). Это позволяет уточнить выражение для компонент
метрического тензора за пределами тела, исключив один неизвестный
коэффициент
:
![]()
где
–
гравитационный потенциал за пределами сферы;
–
электрический потенциал за пределами сферы.
Коэффициент
в
(5) равен коэффициенту
в
уравнении для метрики (1). При
метрический
тензор КТГ отличается от метрического тензора ОТО малыми членами, содержащими в
знаменателе четвёртую степень скорости света.
В общем случае для решения уравнений необходимо, как и в ОТО, использовать численные методы, метод слабых возмущений, параметризованный постньютоновский формализм (ППН-формализм) и другие приближения. Как правило, основной член данных приближений определяется ньютоновской гравитацией, а добавки возникают от общей относительности КТГ (то есть от зависимости результатов пространственно-временных волновых измерений от любых источников энергии и потоков энергии). Особенностью ППН-формализма является то, что он позволяет сравнивать между собой различные альтернативные теории гравитации.
Принцип наименьшего действия
Уравнения движения вещества, уравнения для определения
метрики, уравнения для поля ускорений, поля давления и для
гравитационного и электромагнитного полей могут быть выведены из принципа
наименьшего действия.
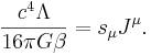
В случае непрерывно распределённой по всему объёму пространства материи функция действия для вещества, находящегося в гравитационном и электромагнитном полях, в ковариантной теории гравитации имеет вид:[22] [11]
![]()
![]()
где
—
функция Лагранжа или лагранжиан,
—
дифференциал времени используемой системы отсчёта,
—
некоторый коэффициент,
—
скалярная кривизна,
—
космологическая константа, характеризующая плотность энергии рассматриваемой
системы в целом, и потому являющаяся функцией системы,
—
скорость света, как мера скорости распространения электромагнитного и
гравитационного взаимодействий, электромагнитный 4-потенциал
,
где
есть
скалярный потенциал, а
является
векторным потенциалом,
—
электрический 4-ток,
— электрическая
постоянная,
—
тензор электромагнитного поля,
и
—
постоянные поля ускорений и поля давления, соответственно,
—
4-потенциал поля давления,
—
инвариантный 4-объём, выражаемый через дифференциал временной координаты
,
через произведение
дифференциалов
пространственных координат, и через квадратный корень
из
детерминанта
метрического
тензора, взятого с отрицательным знаком.
Вариации функции действия по метрическому тензору, по координатам, по 4-потенциалам поля дают уравнения Эйлера-Лагранжа, как уравнения движения метрики, вещества и полей.
В функции действия содержатся члены
, которые представляют собой
плотность функции Лагранжа. С помощью этих членов в статье [23] была
представлена векторная теория гравитации, приводящая к тем же результатам, что
и ковариантная теория гравитации. Аналогичные члены присутствуют в Лагранжиане
в статье. [24]
Гравитационный эффект Ааронова-Бома
Основная статья: Гравитационный фазовый сдвиг
Анализ функции действия показывает, что она имеет физический смысл функции, описывающей изменение таких внутренних свойств тел и систем отсчёта, как скорость течения собственного времени и скорость нарастания фазового угла периодических процессов. Для гравитационного и электромагнитного полей разность показаний часов в приближении слабого поля описывается формулами:[25]
![]()
При этом часы 2, измеряющие время
,
являются контрольными и находятся вне поля, а часы 1 измеряют время
и
находятся под воздействием 4-потенциалов поля
или
.
Временные точки 1 и 2 в пределах интегралов обозначают начало и конец действия
поля.
Сдвиг фазы для однотипных процессов, происходящих в поле и за его пределами, или протекающих в разных состояниях движения, равен:
![]()
Сдвиг фазы, получающийся за счёт электромагнитного
4-потенциала
,
подтверждается эффектом Ааронова-Бома. Сдвиг фазы в гравитационном
4-потенциале подтверждается также в статьях.[26] [27] [28]
Из вышеприведённых формул для неподвижных часов, находящихся в поле недалеко друг от друга в точках 1 и 3, следуют соотношения:
![]()
![]()
Отсюда видно, что скорости хода часов в точках с разными потенциалами поля не совпадают. В случае гравитационного поля это даёт гравитационное замедление времени.
Функция Гамильтона
С помощью преобразования Лежандра можно перейти от известной функции Лагранжа к функции Гамильтона в четырёхмерной форме. В ковариантной теории гравитации гамильтониан определяется через 4-скорость, скалярные потенциалы и напряжённости поля ускорений и поля давления, гравитационного и электромагнитного полей с учётом метрики и для непрерывно распределённого вещества имеет вид:[11]
![]()
![]()
где
и
являются
скалярными потенциалами поля ускорений и поля давления соответственно.
Если ввести 4-вектор обобщённой скорости с ковариантным индексом:
![]()
то для выполнения уравнения для метрики и калибровки гамильтониана оказывается необходимым следующее соотношение:

Поскольку гамильтониан определяет релятивистскую
энергию, он входит во временную компоненту 4-вектора гамильтониана. [25]
В пространстве Минковского этот 4-вектор можно записать в контравариантном
виде:
где
есть скорость движения центра импульсов
рассматриваемой системы.
Энергия, импульс, 4-импульс и инерциальная масса
Для непрерывно распределённого вещества в искривлённом пространстве-времени выражение для энергии физической системы имеет следующий вид: [29]
![]()

В данном выражении лагранжиан системы
представлен
в виде суммы двух частей
,
где
зависит
от 4-потенциалов и 4-токов, а
содержит
тензорные инварианты полей. Величина
есть
та часть функции Лагранжа, которая получается путём интегрирования
по
движущемуся объёму физической системы. В веществе системы скорость частиц
есть
,
величина
есть
временная компонента 4-скорости этих частиц,
есть
детерминант метрического тензора. При вычислении вклада полей частиц в энергию
системы необходимо разделить вещество на
частиц
или элементов вещества точечных размеров. Каждая такая частица имеет некоторую
скорость
,
при этом
и
энергия системы
в
общем случае зависят от скоростей
.
Пусть в рассматриваемой системе действует четыре
векторных поля, такие как электромагнитное и гравитационное поля, поле
ускорений и поле давления. Тогда энергия системы выражается через скалярные
потенциалы полей
,
через векторные потенциалы полей
,
и через тензоры полей
:
![]()
![]()
![]()

Импульс системы определяется формулой:

Для векторных полей импульс равен:
![]()
![~+{\mathbf v}\cdot {\frac {\partial }{\partial {\mathbf v}}}\left(\rho _{{0q}}{\mathbf A}+\rho _{0}{\mathbf D}+\rho _{0}{\mathbf U}+\rho _{0}{\mathbf \Pi }\right)\operatorname {{\big ]}}u^{0}{\sqrt {-g}}dx^{1}dx^{2}dx^{3}+\sum _{{n=1}}^{N}\left({\frac {\partial L_{f}}{\partial {\mathbf v}_{n}}}\right).](ktg.files/image206.gif)
4-импульс определяется как 4-вектор с ковариантным
индексом в виде
.
4-импульс можно разбить на два 4-вектора:
.
причём
есть
обобщённый 4-импульс, связанный с частицами, а 4-вектор
связан
с той частью 4-импульса, вклад в которую делают поля.
В плоском пространстве-времени инерциальная масса
физической системы находится путём деления на квадрат скорости света
энергии
,
вычисленной в системе отсчёта, связанной с центром импульсов системы:
.
Действительно, в этой системе отсчёта импульс системы всегда равен нулю и
4-импульс зависит лишь от энергии:
.
В искривлённом пространстве-времени и в произвольной
системе отсчёта определение инерциальной массы предполагает вычисление
квадратного корня из квадрата 4-импульса:
,
здесь
есть
4-импульс системы с контравариантным индексом.
Обобщённый 4-импульс
В КТГ плотность обобщённого 4-импульса определяется в ковариантном виде так: [30]
![]()
где
есть
4-скорость частиц вещества.
Обобщённый 4-импульс системы с ковариантным индексом вычисляется через интеграл по инвариантному объёму:
![]()
и может быть выражен через 4-потенциалы полей:
![]()
Для вычисления обобщённого 4-импульса с контравариантным индексом используется формула:
![]()
Псевдотензор момента импульса
Псевдотензор момента импульса физической системы в декартовых координатах имеет следующий вид: [10]

Компонентами псевдотензора момента импульса являются
компоненты двух трёхмерных векторов. Один их этих векторов есть момент
импульса
,
другой вектор есть время-зависимый динамический массовый момент (time-varying
dynamic mass moment)
.
Эти вектора определяются формулами
![~{\mathbf M}=\int \left[{\mathbf r}\times {\frac {\partial }{\partial {\mathbf v}}}\left({\frac {{\mathcal {L}}_{p}}{u^{0}}}\right)\right]u^{0}{\sqrt {-g}}dx^{1}dx^{2}dx^{3}+\sum _{{n=1}}^{N}\left({\mathbf r}_{n}\times {\frac {\partial L_{f}}{\partial {\mathbf v}_{n}}}\right).](ktg.files/image224.gif)
![]()
![~-\sum _{{n=1}}^{N}\left[ct{\frac {\partial L_{f}}{\partial {\mathbf v}_{n}}}-{\frac {1}{c}}\left({\mathbf v}_{n}\cdot {\frac {\partial L_{f}}{\partial {\mathbf v}_{n}}}\right){\mathbf r}_{n}\right].](ktg.files/image227.gif)
Радиус-вектор центра импульсов рассматриваемой системы получается в следующем виде:
![~{\mathbf R}={\frac {1}{E}}\left\{\int {\mathbf r}\left[{\mathbf v}\cdot {\frac {\partial }{\partial {\mathbf v}}}\left({\frac {{\mathcal {L}}_{p}}{u^{0}}}\right)u^{0}-{\mathcal {L}}_{p}-{\mathcal {L}}_{f}\right]{\sqrt {-g}}dx^{1}dx^{2}dx^{3}+\sum _{{n=1}}^{N}\left({\mathbf v}_{n}\cdot {\frac {\partial L_{f}}{\partial {\mathbf v}_{n}}}\right){\mathbf r}_{n}\right\}.](ktg.files/image236.gif)
С учётом выражений для импульса
,
энергии
и
радиус-вектора центра импульсов
динамический
массовый момент
выражается
формулой:
![]()
Следствия теории
Эффекты, связанные с распространением волн
К данным эффектам можно отнести гравитационное
замедление времени, гравитационное красное смещение длины волны,
задержку сигнала в гравитационном поле, отклонение светового луча в
гравитационном поле Солнца, и другие. Хотя уравнение движения КТГ для волновых
квантов (3) совпадает с соответствующим уравнением ОТО, небольшое различие
возникает в величине символа Кристоффеля
,
который является функцией от метрического тензора и его производных. При этом
отличие временной компоненты
в
(5) в КТГ от соответствующей величины в ОТО оценивается величиной порядка
. С такой же степенью точностью
все эффекты КТГ, связанные с распространением волн, дают тот же результат, что
и ОТО.
Гравитационные волны
Если рассматривать электромагнитное поле от движущихся заряженных частиц, то для него характерно дипольное, квадрупольное и мультипольные излучения. Как правило, интенсивность квадрупольного излучения и последующих мультиполей значительно меньше, чем интенсивность дипольного излучения. Аналогичная ситуация для гравитационного излучения имеет место и в КТГ, как следствие подобия уравнений электромагнитного и гравитационного полей и векторности источников поля. Между тем, в ОТО дипольное излучение как таковое отсутствует, а квадрупольное и мультипольные гравитационные излучения связываются с тензорными источниками поля и колебаниями метрики, распространяющимися со скоростью света.
Из наблюдений за параметрами орбит двойных нейтронных звёзд и скорости их сближения оценивается изменение полной энергии взаимодействия звёзд за счёт излучения ими гравитационных волн.[31] В подобных системах излучение может быть только квадрупольным, как следствие вращения звёзд относительно общего центра масс. Данный вывод удовлетворяет как КТГ, так и ОТО. Хотя дипольное и мультипольное гравитационные излучения могут быть вычислены отдельно для каждого тела, но в закрытой системе суммарное дипольное излучение всех тел системы стремится к нулю.
Орбитальные и спиновые эффекты
В ряде случаев в КТГ сочетаются вклады от эффективного искривления пространства-времени и от сил, возникающих от обычного поля гравитации и поля гравитационного кручения. Это приводит к различным эффектам при движении пробных частиц вокруг массивных тел. Среди них прецессия перигелиев орбит, спиновый и орбитальный эффекты Лензе-Тирринга, геодезическая прецессия, эффект «Пионеров», сближение орбит тел за счёт излучения ими гравитационных волн и т. д.
Прецессия перигелиев орбит
Расчёт финитного движения пробной частицы вокруг
массивного тела в задаче Кеплера в КТГ с использованием уравнения для метрики
(1) в квадрате интервала (4) и с решением (5), указанном выше, позволяет
определить последнюю неизвестную постоянную в виде
при
сравнении результатов расчётов со сдвигом перигелия Меркурия или других планет.
Взаимодействие спинов
При вращении тела возле него возникает поле кручения, основным членом которого является дипольная компонента поля кручения, пропорциональная спину (собственному моменту импульса) тела. В формуле для напряжённости поля кручения имеется обратно пропорциональная зависимость от куба расстояния от вращающегося тела до точки наблюдения, и от квадрата скорости распространения гравитации. Последнее указывает на то, что поле кручения является релятивистским эффектом и следствием запаздывания изменения гравитационного поля при движении тел. Так как эти эффекты полностью учитываются в СТО, то для описания взаимодействия двух неподвижных вращающихся тел через поле кручения в первом приближении достаточно формул ЛИТГ, в которые переходят формулы КТГ в слабом поле.[1] [6]
В частности, проверка эффекта проводилась на
спутнике Gravity Probe B в 2004—2005 г.г. путём измерения угловой
скорости прецессии гироскопа в поле кручения Земли
.
Если бы гироскоп находился всё время только над северным полюсом Земли, где
спин Земли
и
радиус-вектор расстояния
от
центра Земли до спутника параллельны, угловая скорость прецессии гироскопа
равнялась бы максимальному значению:
![]()
Для Gravity Probe B значение
должно
быть приблизительно равно 0,0409 угловых секунд в год или 6,28•10−15 рад/с.
Такая же формула для эффекта получается и в ОТО, но после усреднения по всей
орбите.[32] В ОТО эффект взаимодействия спинов носит название
спиновый эффект Лензе-Тирринга или эффект Шиффа, и полагается одним из
следствий увлечения инерциальных систем отсчёта (frame-dragging). Для описания
поля кручения в ОТО часто привлекается ещё так называемое гравитомагнитное
поле, смотри гравитоэлектромагнетизм.
Орбитальный эффект Лензе-Тирринга
Если придать пробной частице некоторую скорость
движения
по орбите вокруг вращающегося массивного тела со спином
то
под действием поля кручения
от
данного спина возникает момент силы, изменяющий орбитальный момент импульса
частицы:
![]()
где сила равна:
,
обозначает
массу частицы,
есть напряжённость
гравитационного поля (гравитационное ускорение) от массивного
тела, радиус-вектор расстояния
отсчитывается
от центра вращающегося тела до пробной частицы, а орбитальный момент частицы
равен ![]()
Если выразить поле кручения
через
спин тела
,
то для случая кругового движения получается формула для угловой скорости
прецессии плоскости орбиты частицы относительно направления спина тела:
![]()
Этот результат, как следует из ОТО и экспериментов,
следует удвоить, поскольку в нём не учтена ещё метрика пространства-времени в
системе отсчёта рассматриваемого тела. В этой системе отсчёта согласно КТГ
гравитационное поле вращается вместе с телом и в пространстве имеется поле
кручения, делающее свой вклад в метрику как источник энергии и потоков энергии. В
результате метрика возле вращающегося массивного тела отличается от метрики
неподвижного тела и по форме должна напоминать метрику Ньюмана, найденную в ОТО
для вращающегося и заряженного тела.[33] В метрике Ньюмана, по
отношению к метрике Рейсснера для неподвижного заряженного тела,[34] появляется
дополнительная величина, связанная с вращением тела. Поэтому в метрике КТГ возле вращающегося массивного тела, учитывающей
энергию и поток энергии гравитационного поля этого вращающегося тела,
вместо коэффициентов типа
и
в
в
метрике (4) появляется новая форма квадрата интервала и другие коэффициенты в
метрике. Выбирая их значения в соответствии с уравнением движения пробной
частицы и экспериментами по измерению орбитальной прецессии, можно уточнить вид
метрики возле вращающегося массивного тела с точки зрения КТГ.
Геодезическая прецессия
Данный вид прецессии иногда называют эффектом де Ситтера и прецессией Фоккера. Такая прецессия возникает при орбитальном движении пробной частицы со спином вокруг тела, которое само может и не вращаться (наличие вращения тела проявляется как абсолютный эффект и выражается в появлении центростремительного ускорения). Спин частицы стремится сохранять своё направление в пространстве при любом движении частицы. Параллельный перенос спина частицы по орбите в искривлённом пространстве-времени вокруг массивного тела приводит к тому, что на спин воздействует эффективный момент силы, изменяющий его направление в пространстве и приводящий к прецессии с некоторой угловой скоростью.
Геодезическая прецессия имеет место и в ЛИТГ, где искривление пространства-времени не учитывается. С точки зрения наблюдателя в системе отсчёта вращающейся частицы, тело движется вокруг частицы по некоторой орбите, создавая поле кручения. Это поле кручения воздействует на спин частицы, создавая момент силы и соответствующую прецессию спина частицы. Оба эффекта, от искривления пространства-времени и от спин-орбитального взаимодействия полей кручения, зависят от одних и тех же переменных и их можно сложить. Согласно ОТО и результатов экспериментов,[35] вклад от искривления пространства-времени в два раза больше, чем вклад от взаимодействия полей кручения. Это даёт формулу для угловой скорости прецессии гироскопа, эквивалентного пробной вращающейся частице:
![]()
где
—
скорость движения гироскопа по орбите,
—
гравитационное ускорение, действующее на гироскоп от массивного тела.
Для точного расчёта геодезической прецессии в КТГ следует использовать вид метрики возле вращающегося массивного тела и с её помощью рассчитать орбитальное движение вращающейся пробной частицы. Как и в случае орбитального эффекта Лензе-Тирринга, неопределённые коэффициенты в метрике подлежат доопределению при сравнении с результатами экспериментов.
Эффект «Пионеров»
Различие способов включения гравитационного поля в уравнения для метрики и несовпадение уравнений движения в КТГ и в ОТО приводят к тому, что в КТГ появляется возможность объяснения эффекта «Пионеров».[6] [36] Данный эффект заключается в том, что при измерении частоты волновых сигналов от космических аппаратов на Земле возникает отличие от предсказаний ОТО. Согласно КТГ это есть следствие неточности уравнений ОТО. КТГ предсказывает различие в скоростях аппаратов, движущихся с выключенными двигателями и замедляющихся притяжением Солнца, порядка нескольких см/с по сравнению с результатами ОТО в пределах Солнечной системы. Это различие скоростей, вероятно проявляющееся также как пролётная аномалия (fly-by anomaly),[37] по всей видимости и создаёт эффект «Пионеров».
Пространство-время
Представление о пространстве-времени в КТГ согласуется с идеей масштабного измерения, задающего местоположение космических объектов на масштабной оси, и с теорией бесконечной вложенности материи. На каждом основном уровне материи можно рассматривать свою собственную гравитацию (примерами являются сильная гравитация на уровне атомов и обычная гравитация на уровне звёзд), и своё собственное пространство-время, причём скорость времени на низших уровнях материи увеличивается. В силу SPФ-симметрии, уравнения физики остаются прежними, если в них при переходе от одного уровня материи к другому делать соответствующие преобразования физических величин, таких, как масса, размер и скорость движения. Отсюда следует относительность пространства-времени не только с точки зрения способа определения его свойств конкретными измерительными процедурами, но и как следствие расположения системы отсчёта на масштабной лестнице материи.
Астрофизические применения
Благодаря ОТО в астрофизике стали привычными такие понятия, как гравитационное линзирование и микролинзирование, детекторы гравитационных волн, чёрные дыры, космологические теории Вселенной. Явления, связанные с волнами, в КТГ почти точно совпадают с их описанием в ОТО. Это относится и к гравитационному линзированию, как следствию отклонения лучей света от удалённого источника некоторым промежуточным массивным объектом, находящимся на пути лучей. Однако трактовка чёрных дыр и космологических теорий в КТГ отличается от стандартного подхода.
Чёрные дыры
Основная статья: Чёрная дыра
Наиболее полно представление о чёрных дырах было разработано в ОТО. В этой теории собственное гравитационное поле тела как правило не участвует в определении метрики, метрика как объект геометрического вида задаёт гравитацию, и гравитационная сила становится результатом геометрии пространства-времени. Однако на вопрос — почему и каким образом массивное тело изменяет пространство-время вдали от себя — ОТО ответить не может. Это сближает ОТО и ньютоновскую модель гравитации — в последней также неизвестна причина гравитации, хотя есть её описание в виде формулы для силы. В результате в ОТО неизвестна ни максимально возможная степень искривления пространства-времени, реализуемая фактически в природе, ни соответственно максимальная гравитационная сила, которая была бы способна превратить звезду в чёрную дыру.
Если считать скорость света
предельной скоростью распространения взаимодействий, то этой скорости
соответствует энергия покоя каждого тела, пропорциональная также массе тела
(смотри эквивалентность массы и энергии). Теоретически при образовании чёрной дыры масса-энергия составляющего её
вещества должна существенно уменьшиться за счёт вклада отрицательной
массы-энергии гравитационного поля чёрной дыры. ОТО предсказывает для чёрных
дыр так называемый горизонт событий и сингулярность пространства-времени.
Предполагается, что вещество или излучение, находящиеся под горизонтом чёрной
дыры, уже не могут выйти из под горизонта наружу и должны как-то двигаться
внутри дыры с релятивистскими скоростями. Извне чёрная дыра должна выглядеть
как всёпоглощающий тёмный объект с сильным гравитационным полем.
В КТГ при описании объектов с
гравитационным полем опираются на модернизированную теорию
гравитации Лесажа, в которой
гравитация создаётся потоками гравитонов, пронизывающих все тела. Расчёты
позволяют вывести формулу тяготения Ньютона, оценить пространственную плотность
энергии потоков гравитонов и их проникающую способность в веществе. [1]
[5] Становится возможным понять причину массы тела и его инерции, поскольку
масса может быть выражена через мощность потока энергии гравитонов,
взаимодействующих с веществом тела. [38] [39]
[40]
В качестве гравитонов предполагаются релятивистские частицы, фотоны и нейтрино, рождённые веществом на низших масштабных уровнях материи. [41] Это соответствует сущности теории бесконечной вложенности материи и электрогравитационного вакуума, согласно которым объекты, подобные звёздам, белым карликам и нейтронным звёздам, создают различные релятивистские частицы и излучения на одном уровне материи, а эти частицы и излучения при достаточно большой плотности их энергии приводят к скучиванию и сжатию вещества на более высоком масштабном уровне. Так гравитоны как кванты поля из рассеянного вещества порождают новые компактные объекты, которые в свою очередь становятся источниками новых, более мощных квантов поля. В таком процессе плотность гравитационной энергии, достигаемая в материальных объектах, уменьшается при переходе ко всё более массивным объектам. В описанной картине нет места чёрным дырам в их традиционном понимании. Перечислим некоторые доводы против чёрных дыр:
Космология
В настоящее время основными космологическими моделями являются модели, вытекающие из решений уравнений для метрики в ОТО. Как правило считается, что Вселенная расширяется после произошедшего в прошлом Большого взрыва, и галактики разбегаются друг от друга. Космологические теории призваны описать известные экспериментальные факты, такие как красное смещение спектров удалённых галактик, однородность, изотропия и почти точная евклидовость космического пространства и распределения вещества на больших масштабах, распределение концентраций химических элементов в космосе и нуклеосинтез, структуры и формы крупных галактических систем, изотропное космическое микроволновое фоновое излучение, существование тёмной материи и т. д.
В КТГ к космологическим теориям на основе ОТО относятся критично. Учитывая теорию бесконечной вложенности материи и теорию гравитации Лесажа, Вселенную можно полагать состоящей из иерархически связанных масштабных уровней материи. Наблюдаемая нами часть Вселенной, называемая Метагалактикой, согласно подобию уровней материи и SPФ-симметрии близка по своим размерам и массе к одному из объектов метагалактического уровня материи. На разных масштабных уровнях материи могут действовать различающиеся по плотности энергии, проникающей способности и диапазону действия гравитационные кванты и гравитационные поля. В таком случае распространение выводов ОТО в отношении обычной гравитации на предположительно однородную и бесконечную Вселенную становится незаконным. За пределами Метагалактики вполне можно ожидать пустот в распределении материи, протянувшихся вплоть до других аналогичных объектов. Что касается экспериментальных наблюдений типа красного смещения спектров удалённых галактик или фонового микроволнового излучения, то для всех них имеются и другие объяснения. Например, красное смещение и постоянная Хаббла могут быть связаны с поглощением энергии фотонов при их распространении в космологическом пространстве.[6] [45] Как известно, в теории Большого взрыва начальным состоянием Вселенной полагается сингулярность пространства-времени. Тогда ОТО должна объяснить не только возникновение гипотетического состояния сингулярности, но и причину его взрывной неустойчивости. Для полного и самосогласованного объяснения этой проблемы в ОТО считается необходимой квантовая гравитация, до сих пор не развитая в должной мере. В отличие от этого в КТГ ни чёрные дыры, ни сингулярности не обязательны, что снимает ряд проблем в космологии.
При выводе уравнений КТГ из принципа наименьшего действия удалось показать, что космологическая постоянная с точностью до постоянного множителя определяет плотность массы-энергии вещества во Вселенной, без учёта вклада массы-энергии макроскопических гравитационных и электромагнитных полей. Это означает, что космологическая постоянная зависит только от микроскопических фундаментальных полей, действующих на уровне элементарных частиц.[22]
Проблема массы
Согласно принципу эквивалентности массы и энергии, инертная масса какого-либо уединённого покоящегося объекта может быть найдена через энергии вещества и поля, связанные с данным объектом. Для этого в ОТО необходимо просуммировать все виды энергии, включая энергию покоя вещества, его внутреннюю энергию и энергии полей как внутри, так и за пределами объекта. Сумма всех энергий даёт релятивистскую энергию, которая должна равняться произведению инертной массы объекта на квадрат скорости света. По мере роста плотности вещества объекта за счёт уменьшения объёма под действием гравитации гравитационная энергия становится всё более отрицательной, что согласно ОТО уменьшает как релятивистскую энергию, так и массу объекта, причём гравитационная масса равна инертной. Таким образом, звезда должна быть менее массивна, чем сумма масс всех тех частиц, из которых она состоит.
В отличие от ОТО, в КТГ делаются другие выводы. Это следует из того, что гравитационная энергия входит в релятивистскую энергию с отрицательным знаком за счёт энергии вещества в потенциалах поля, и с положительным знаком в отношении энергии самого поля, связанной с напряжённостями поля. В расчёт берутся ещё энергии вещества в поле ускорений, в поле давления и в электромагнитном поле, а также энергии этих полей.[46]
В результате возникает различие между гравитационной и инертной массами системы, так что гравитационная масса превышает инертную массу.
Рассмотрение релятивистской энергии для случая
сферически-симметричного коллапса приводит к четырём видам массы.
Гравитационная масса
получается
равной массе
,
вычисляемой как интеграл по объёму от инвариантной плотности массы, умноженной
на фактор Лоренца. Инертная масса системы с учётом частиц и полей равна
,
а четвёртая масса
находится
из условия отсутствия в веществе энергии макроскопических полей, и получается
например после распыления вещества и удаления его на бесконечность. Соотношение
масс при этом таково:
В
ОТО масса системы по принципу эквивалентности равна гравитационной массе, и для
соотношения масс получается другое выражение: ![]()
В статье [47] показывается, что в
КТГ релятивистская однородная система с непрерывным распределением вещества
характеризуется пятью массами: калибровочная масса
связана
с космологической постоянной и представляет собой массу-энергию частиц вещества
в 4-потенциалах полей системы; инертная масса
;
вспомогательная масса
равняется
произведению инвариантной плотности массы частиц на объём системы.
Соотношение для этих масс следующее:
![]()
Одновременно с этим, энергия физической системы,
вычисляемая в центре импульсов системы, определяет инвариантную инертную
массу
системы. [29] Квадрат
этой массы, умноженный на квадрат скорости света, равен квадрату 4-импульса
системы.
Релятивистская однородная модель
Основная статья: Релятивистская
однородная система
В гравитационно-связанной однородной системе в рамках КТГ с учётом векторного поля давления, поля ускорений и электромагнитного поля удаётся точно вычислить кинетическую энергию частиц и найти отличие от классической теоремы вириала. [48] В частности, отношение кинетической энергии к энергии сил, действующих на частицы, получается равным 0,6 вместо 0,5 в классическом случае. Кроме этого доказывается, что в уравнении движения необходимо использовать производную Лагранжа, поскольку скорость типичных частиц оказывается функцией пространственных координат.
Анализ интегральной теоремы обобщённого вириала позволяет найти формулы для радиальной компоненты скорости типичных частиц системы и для их среднеквадратичной скорости, не используя понятия температуры. [49] Показывается связь данной теоремы с космологической постоянной, характеризующей рассматриваемую физическую систему. Объясняется различие между кинетической энергией, и энергией движения, значение которой равняется половине суммы лагранжиана и гамильтониана.
Модель даёт возможность оценить скорость
частиц
в центре сферы, соответствующий фактор Лоренца
,
скалярный потенциал
поля
давления, найти связь между коэффициентами полей, выразить зависимости
скалярной кривизны и космологической постоянной в веществе как функции от
параметров типичных частиц и потенциалов полей. [12] При
этом сравнение космологических постоянных внутри протона, нейтронной звезды и в
наблюдаемой Вселенной позволяет объяснить проблему космологической постоянной,
возникающую в Lambda-CDM модели.
В статье [50] выводятся ковариантные формулы для таких аддитивных интегралов движения системы, как импульс, энергия, 4-импульс, момент импульса, псевдотензора момента импульса, а также для радиус-вектора центра импульсов системы. В замкнутой системе интегралы движения сохраняются, а центр импульсов движется с постоянной скоростью. Показывается отличие 4-импульса от интегрального вектора, получаемого путём интегрирования уравнения движения через тензоры энергии-импульса полей. Данное отличие связывается с различием частиц и полей как таковых.
С помощью ковариантной теории гравитации вычисляются полная энергия, энергия связи, энергия полей, энергия давления и потенциальная энергия системы из частиц и четырёх полей в релятивистской однородной модели. [51] Показывается заметное отличие полученных результатов от соотношений для простых систем в классической механике, в которых поля ускорений и поля давления не учитываются либо давление считается простой скалярной величиной. При этом инертная масса массивной системы оказывается меньше суммарной инертной массы частей системы.
Протон, нейтронная звезда и наблюдаемая Вселенная очень близки по своим свойствам к релятивистской однородной системе. При этом они являются экстремальными объектами в том смысле, что их гравитационное поле существенно отклоняется от того вида, который предписывается классической однородной системой.[54] Для нейтронной звезды это позволяет найти фактор Лоренца движения вещества в центре звезды, равный 1,04. Аналогично этому, для протона фактор Лоренца в центре равняется 1,9. Анализ формулы для гравитационного поля позволяет объяснить ослабление поля на границах Метагалактики, проявляющееся в крупномасштабной ячеистой структуре Вселенной.
В релятивистской однородной системе известны точные значения напряжённостей и потенциалов всех действующих полей. [55] Это позволяет проверить теорему энергии поля для такой системы и убедиться в справедливости теоремы. [18] Указанная теорема объясняет в частности, почему электростатическую энергию можно вычислять либо через напряжённость поля, входящую в тензор электромагнитного поля, либо другим способом, через потенциал поля.
Модель гравитационного равновесия
Данная модель используется для описания внутренних параметров таких космических объектов, как планеты и звёзды. В отличие от политропной модели, связывающей давление и плотность некоторым предполагаемым степенным законом, модель гравитационного равновесия является следствием уравнений гравитационного поля, поля давления, поля ускорений, электромагнитного поля и других полей, действующих в веществе. Рассматриваемый подход позволяет находить распределение внутреннего давления, температуры и других параметров. [54] Коэффициент поля ускорений η и коэффициент поля давления σ оказываются функцией состояния вещества, а их сумма близка по величине к гравитационной постоянной G. Для макроскопических объектов гравитационное поле является основной компонентой общего поля. [55] [15]
Уравнение Навье-Стокса
Феноменологическое уравнение
Навье-Стокса описывает движение вязкого флюида с учётом поля
диссипации.
Гравитационное и электромагнитное поля включаются в это уравнение, давая так
называемые массовые члены в выражениях для действующих сил. Существует
возможность вывести уравнение Навье-Стокса ковариантным способом, если учесть поле ускорений и уравнение движения вещества в
КТГ. [14]
В данном подходе эффект вязкости описывается 4-потенциалом поля диссипации энергии, тензором поля диссипации и тензором энергии-импульса поля диссипации. Представляется полный набор уравнений, достаточный для разрешения задачи о движении вязкого сжимаемого и заряженного вещества в гравитационном и электромагнитном поле.
Сравнение КТГ с общей теорией относительности
Ввиду различия представления
гравитационного поля в ковариантной теории гравитации (КТГ) и в общей теории
относительности (ОТО), в обеих теориях гравитационная сила и гравитационная
энергия трактуются по-разному. В КТГ плотность гравитационной 4-силы вычисляется либо через тензор гравитационного поля, либо с помощью тензора энергии-импульса гравитационного поля.
Эти тензоры делают вклад как в релятивистскую энергию, так и в инерциальную
массу физической системы.
В отличие от этого, в ОТО
гравитационная 4-сила и гравитационное 4-ускорение
равны нулю, а гравитационные эффекты связываются с метрическим тензором
пространства-времени и производными компонент этого тензора по координатам и
времени. В результате в ОТО энергия гравитационного поля не может быть
вычислена точно, для оценки этой энергии предлагаются различные виды
псевдотензоров.
Целью статьи [56] является
анализ оснований ОТО, включая вывод уравнений ОТО из принципа наименьшего
действия. В статье делается вывод о том, что ОТО может быть уточнена, если в
ней вместо скалярных полей использовать векторные поля, такие как поле ускорений и поле давления. Кроме этого, в статье даются
формулы, с помощью которых в ОТО можно оценить энергию и импульс системы с
учётом вклада от гравитационного поля.
Внешние ссылки
·
Covariant theory of gravitation
|
||||||||||||
Источник: http://sergf.ru/ktg.htm