Поле ускорений
Поле ускорений — двухкомпонентное векторное поле, ковариантным образом
описывающее 4-ускорение отдельных
частиц и плотность 4-силы,
возникающие в системах с множеством тесно взаимодействующих частиц. Поле
ускорений является компонентой общего поля, представленной в лагранжиане и в
гамильтониане произвольной физической системы членом с энергией движения
частиц, и членом с энергией поля. [1] [2] Поле
ускорений входит в большинство уравнений
векторного поля. При этом в уравнение движения поле ускорений входит
через тензор ускорений, а в уравнение
для метрики – через тензор
энергии-импульса поля ускорений.
Поле ускорений было
представлено Сергеем Федосиным в рамках метрической теории относительности и ковариантной теории гравитации, а уравнения
этого поля появились как следствие принципа наименьшего действия. [3] [4]
Содержание
Математическое описание
4-потенциал поля ускорений
выражается через скалярный
и
векторный
потенциалы:
![]()
Антисимметричный тензор ускорений вычисляется через
4-ротор от 4-потенциала:
![]()
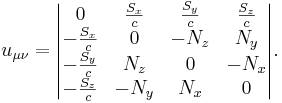
Компонентами тензора ускорений
являются компоненты напряжённости поля
и
компоненты соленоидального вектора
:

При этом получается следующее:
![]()
В общем случае скалярный и
векторный потенциалы находятся путём решения волновых уравнений для потенциалов
поля ускорений.
Действие, Лагранжиан и энергия
В ковариантной теории гравитации
4-потенциал
поля
ускорений является частью 4-потенциала общего
поля
,
который является суммой 4-потенциалов таких частных полей, как электромагнитное
и гравитационное поля, поле ускорений, поле давления, поле
диссипации, поле сильного взаимодействия, поле слабого взаимодействия,
других векторных полей, действующих на вещество и его частицы. Все эти поля так
или иначе представлены в веществе, так что 4-потенциал
не
может состоять только из одного 4-потенциала
.
Плотность энергии взаимодействия общего поля с веществом задаётся произведением
4-потенциала общего поля на массовый 4-ток:
.
Из 4-потенциала общего поля путём применения 4-ротора получается тензор общего
поля:
![]()
Тензорный инвариант, в виде
,
с точностью до постоянного коэффициента пропорционален плотности энергии общего
поля. В результате функция действия, содержащая скалярную кривизну
и
космологическую постоянную
,
определяется выражением: [1]
![]()
где
–
функция Лагранжа или лагранжиан,
–
дифференциал времени координатной системы отсчёта,
и
–
постоянные, подлежащие определению,
–
скорость света, как мера скорости распространения электромагнитного и
гравитационного взаимодействий,
–
инвариантный 4-объём, выражаемый через дифференциал временной координаты
,
через произведение
дифференциалов
пространственных координат, и через квадратный корень
из
детерминанта
метрического
тензора, взятого с отрицательным знаком.
Варьирование функции действия даёт
уравнения общего поля, четырёхмерное уравнение движения и уравнение для
определения метрики. Так как поле ускорений является компонентой общего поля,
то из уравнений общего поля вытекают соответствующие уравнения поля ускорений.
При выполнении условия калибровки
космологической постоянной в виде
![]()
энергия системы не зависит от члена
со скалярной кривизной и становится однозначно определённой: [4]
![]()
где
и
обозначают
временные компоненты 4-векторов
и
.
В произвольной системе отсчёта K 4-импульс системы определяется формулой: [5] [6]
![]()
где
и
обозначают энергию и импульс физической
системы в K;
есть инерциальная масса;
есть 4-скорость движения центра импульсов
физической системы в K. Если в центре импульсов поместить начало координат
системы отсчёта K', и вычислить в K' энергию системы
и временную компоненту
4-скорости центра импульсов, то можно найти
инерциальную массу
системы. Заметим, что в системе отсчёта K'
трёхмерный импульс
физической системы по определению равен нулю.
Уравнения
Четырёхмерные уравнения поля
ускорений по своей форме оказываются подобными уравнениям Максвелла и имеют
следующий вид:
![]()
![]()
где
есть
массовый 4-ток,
–
плотность массы в сопутствующей системе отсчёта,
–
4-скорость движения элемента вещества,
–
постоянная, определяемая в каждой задаче, и предполагается, что имеется
равновесие между всеми полями в рассматриваемой физической системе.
Условие калибровки 4-потенциала
поля ускорений:
![]()
Если второе уравнение с источником
поля записать с ковариантным индексом в следующем виде:
![]()
то после подстановки сюда выражения
тензора ускорений
через
4-потенциал поля ускорений
получается
волновое уравнение для вычисления потенциалов поля ускорения: [7]
![]()
где
–
тензор Риччи, находимый по формуле в книге.[8] В случае, если
тензор Риччи вычисляется по формуле в книге, [9] в
волновом уравнении перед тензором Риччи следует изменить знак на
противоположный.
Уравнение непрерывности в
искривлённом пространстве-времени:
![]()
В пространстве Минковского
специальной теории относительности тензор Риччи обнуляется, вид уравнений поля
ускорений упрощается и их можно выразить через напряжённость поля
и
соленоидальный вектор
:

![]()
где
есть
фактор Лоренца,
– плотность тока
массы,
–
скорость элемента вещества.
Упрощается и волновое уравнение,
которое может быть записано отдельно для скалярного и векторного потенциалов:
![]()
![]()
Уравнение движения элемента
вещества в общем поле описывается формулой:
.
Так как
,
а тензор общего поля выражается через тензоры частных полей, то уравнение
движения можно представить через эти тензоры: [7] [10]
![]()
Здесь
– тензор
электромагнитного поля,
–
зарядовый 4-ток,
– тензор гравитационного поля,
– тензор поля давления,
– тензор поля диссипации,
–
тензор поля сильного взаимодействия,
–
тензор поля слабого взаимодействия,
— инвариантная плотность
массы,
и
обозначают 4-скорость и 4-ускорение элемента
вещества.
Тензор энергии-импульса
Тензор
энергии-импульса поля ускорений вычисляется с помощью тензора
ускорений:
.
В составе тензора
находится
3-вектор плотности потока энергии поля ускорений
,
подобный по смыслу вектору Пойнтинга и вектору Хевисайда. Вектор
можно
представить через векторное произведение вектора напряжённости поля
и
соленоидального вектора
:
![~{\mathbf {K}}=cB^{{0i}}={\frac {c^{2}}{4\pi \eta }}[{\mathbf {S}}\times {\mathbf {N}}],](af.files/image244.jpg)
здесь индекс ![]()
Ковариантная производная от тензора
энергии-импульса поля ускорений со смешанными индексами задаёт плотность 4-силы:
![]()
где
обозначает
дифференциал собственного времени в искривлённом пространстве-времени.
Тензор энергии-импульса поля
ускорений входит в состав тензора энергии-импульса общего поля
:
![]()
где
– тензор
энергии-импульса электромагнитного поля,
– тензор энергии-импульса гравитационного поля,
– тензор энергии-импульса поля давления,
– тензор энергии-импульса поля диссипации,
–
тензор энергии-импульса поля сильного взаимодействия,
–
тензор энергии-импульса поля слабого взаимодействия.
Через тензор
тензор
энергии-импульса поля ускорений входит в уравнение для метрики:
![]()
где
–
тензор Риччи,
– гравитационная постоянная,
–
некоторая постоянная, и использовано условие калибровки космологической
постоянной.
Частные решения для функций поля ускорений
4-потенциал любого векторного поля,
глобальный векторный потенциал которого равен нулю в собственной системе
отсчёта K', то есть в системе центра импульсов, при прямолинейном движении в
лабораторной системе отсчёта K может быть представлен так: [3] [7]
![]()
где
для электромагнитного поля
и
для
остальных полей;
и
–
инвариантная плотность массы и соответственно плотность заряда в сопутствующей
системе отсчёта;
–
инвариантная плотность энергии взаимодействия, вычисляемая как произведение
4-потенциала поля на соответствующий 4-ток;
–
ковариантная 4-скорость, задающая движение центра импульсов физической системы
в K.
В специальной теории относительности (СТО),
в системе центра импульсов K' плотность энергии
,
где
есть
фактор Лоренца, и для поля ускорений при движении физической системы в K
4-потенциал поля ускорений будет равен
.
В том случае, когда физическая
система неподвижна в K, будет
,
и следовательно, скалярный потенциал
.
Если в физической системе в среднем имеются направленные потоки вещества или
вращение вещества, векторный потенциал
поля
ускорений перестаёт быть равен нулю.
Если известен 4-потенциал
поля
ускорений в K', то в лабораторной системе отсчёта K 4-потенциал определяется с
помощью матрицы
,
связывающей координаты и время обеих систем отсчёта:[11]
![]()
В частном случае движения системы с
постоянной скоростью
представляет
собой матрицу преобразований Лоренца.
Идеально твёрдая частица
В приближении, когда частица
рассматривается как идеально твёрдый объект, вещество внутри частицы
неподвижно. Это означает, что фактор Лоренца
этого
вещества в системе центра импульсов K' равен единице, так что 4-потенциал поля
ускорений становится равным 4-скорости движения центра импульсов:
![]()
В СТО выражение для 4-скорости
упрощается и можно записать:
![]()
Компоненты тензора ускорений
согласно (1) будут равны:
![]()
Так как в уравнении твердотельного
движения для 4-ускорения с ковариантным индексом
справедливо
соотношение
![]()
то в СТО получается следующее:
![]()
а также уравнения для лоренцевского
фактора
и
для 3-ускорения
:
![]()
Умножая скалярно уравнение (7) на
скорость
подставляя
из уравнения (6) в (7) величину
учитывая
соотношение
находим известное выражение
для производной фактора Лоренца через скалярное произведение скорости и
ускорения в СТО:
![]()
В справедливости уравнения (7)
можно убедиться, если подставить в его правую часть выражения для напряжённости
и соленоидального вектора
, приведённые выше:
![]()
Действительно,
применение производной Лагранжа даёт:
![]()
Кроме этого
![]()
Подставляя эти соотношения в (8), с
учётом выражения
приходим к тождеству:
![]()
Если компоненты скорости частицы
являются функциями от времени и прямо не зависят от пространственных координат,
то для такого движения соленоидальный вектор
обращается
в нуль.
В СТО
–
релятивистская энергия,
–
3-вектор релятивистского импульса частицы. Если масса
частицы
постоянна, то умножая (8) на массу частицы, приходим к следующему выражению для
силы:
![]()
Вращение частицы
Для малой по размерам идеально
твёрдой частицы можно пренебречь движением вещества внутри частицы и считать,
что 4-потенциал поля ускорений равен 4-скорости центра импульсов частицы. Пусть
частица вращается вокруг оси OZ системы координат на расстоянии
от
оси с постоянной угловой скоростью
против
часовой стрелки, если смотреть с той стороны, куда направлена ось OZ. Тогда
можно считать, что линейная скорость частицы зависит только от координат
и
,
и для проекций скорости на оси системы координат можно записать:
,
при этом квадрат скорости равен
.
Для фактора Лоренца в рамках СТО получается следующее:

С учётом этого потенциалы и напряжённости
поля ускорений запишутся так:
![]()
![]()
![]()
Если подставить
,
,
и
в
(7), можно определить компоненты ускорения частицы и амплитуду ускорения:
![]()
![]()
Ускорение направлено к центру
вращения и представляет собой центростремительное ускорение. Используя
далее классическое векторное описание, в координатах и времени системы отсчёта
в центре вращения находим:
![]()
![]()
где
и
являются
двумя координатами цилиндрической системы координат,
есть
вектор от центра вращения до частицы,
обозначает
аксиальный вектор дифференциала угла вращения, который направлен вдоль оси OZ.
Как видно, при таком движении с
ускорением векторное произведение
не равно нулю, так же как и
3-вектор
плотности
потока энергии поля ускорений внутри частицы.
Система частиц
Благодаря взаимодействию множества
частиц друг с другом посредством различных полей, в том числе на расстоянии без
непосредственного контакта, поле ускорений в веществе изменяется и отличается
от поля ускорений отдельных частиц в точке наблюдения. В результате плотность
4-силы в системе частиц задаётся через напряжённость и соленоидальный вектор,
характеризующие типичные усреднённые характеристики движения вещества.
Например, в гравитационно-связанной системе возникает радиальный градиент
вектора
а
если система движется или имеет вращение, то возникает вектор
Из
(5) следует общее выражение для плотности 4-силы с ковариантным индексом:
![]()
где
обозначает
четырёхмерный пространственно-временной интервал.
Для стационарного случая, когда
потенциалы поля ускорений не зависят от времени, в предположении, что
волновое
уравнение (2) для скалярного потенциала в СТО преобразуется в уравнение:
![]()
Решение этого уравнения для
неподвижной сферы с хаотически движущимися в ней частицами имеет вид: [12]

где
есть
фактор Лоренца для скоростей
частиц
в центре сферы, и ввиду малости аргумента синус разложен до членов второго порядка.
Из формулы следует, что средние скорости частиц максимальны в центре и
уменьшаются при приближении к поверхности сферы.
В такой системе скалярный
потенциал
становится
функцией радиуса, а векторный потенциал
и
соленоидальный вектор
равны
нулю. Напряжённость поля ускорений
находится
с помощью (1). Далее могут быть вычислены все функции поля ускорений, включая
4-ускорение, энергию частиц в этом поле и энергию самого поля ускорений. [13] Для
космических тел основной вклад в 4-ускорение в веществе вносит гравитационная
сила тяжести и поле давления. При этом автоматически выводится релятивистская
энергия покоя системы, с учётом движения частиц внутри сферы. Для системы
частиц с полем ускорения, полем давления, гравитационным и электромагнитным
полями указанный подход позволил решить проблему 4/3 и показал, где и в какой
форме содержится энергия системы. При этом было найдено соотношение для
постоянной поля ускорения в этой задаче:
![]()
где
– электрическая постоянная,
и
–
полный заряд и масса системы.
Решение волнового уравнения для поля
ускорений внутри системы приводит к распределению температуры по формуле: [12]
![]()
где
–
температура в центре,
–
масса частицы, в качестве которой принимается масса протона (для систем,
основой которых является водород или нуклоны в атомных ядрах),
–
масса системы внутри текущего радиуса
,
–
постоянная Больцмана.
Данная зависимость хорошо
выполняются для самых разных космических объектов, включая газовые облака и
глобулы Бока, Землю, Солнце и нейтронные звёзды.
В статьях [14] [15] соотношение
для коэффициентов полей было уточнено следующим образом:
![]()
где
есть
постоянная поля давления.
Если ввести параметр
как
количество нуклонов на одну частицу ионизированного газа, то постоянная поля
ускорения выразится так:
![]()
Для температуры внутри космических
тел в модели гравитационного равновесия находится зависимость от текущего
радиуса:
![]()
где
есть
масса одной частицы газа, в качестве которой берётся атомная единица
массы, коэффициенты
и
входят
в зависимость плотности массы от радиуса в соотношении ![]()
В предположении, что типичные
частицы системы имеют массу
и
именно типичные частицы задают температуру и давление, для постоянной поля
ускорения получается следующее: [16]

Находится также фактор Лоренца
частиц в центре системы: [17]

Волновое уравнение (3) для
векторного потенциала поля ускорений было использовано для того, чтобы
релятивистское уравнение движения жидкости представить в виде уравнения
Навье-Стокса в гидродинамике и описать движение вязкого сжимаемого вещества. [10]
Учёт поля ускорений и поля давления
в релятивистской однородной системе позволил
уточнить теорему вириала, которая в релятивистской форме записывается
так: [18]

причём величина
превышает
кинетическую энергию частиц
на
множитель, равный фактору Лоренца
частиц
в центре системы. В обычных условиях можно считать, что
,
и тогда видно, что в теореме вириала кинетическая энергия связана с
потенциальной энергией не коэффициентом 0,5, а скорее коэффициентом, близким к
0,6. Отличие от классического случая возникает за счёт учёта поля давления и
поля ускорений частиц внутри системы, при этом производная от вириальной
скалярной функции
не
равна нулю и должна рассматриваться как производная Лагранжа.
Анализ интегральной теоремы
обобщённого вириала позволяет найти на основе теории поля формулу для
среднеквадратичной скорости типичных частиц системы, не используя понятия
температуры: [19]

Интегральная теорема энергии поля для поля ускорений
в искривлённом пространстве-времени выглядит следующим образом:[11]
![]()
В релятивистской однородной системе
скалярный потенциал
поля
ускорений связан со скалярным потенциалом
поля
давления соотношением: [20]
![]()
При этом находится релятивистское
выражение для давления:

где
—
плотность движущегося вещества,
— скорость
света,
— Лоренц-фактор. В
пределе малых скоростей это соотношение переходит в стандартную
формулу молекулярно-кинетической теории.
В [21] показывается,
каким образом поле ускорений делает свой вклад в массу физической системы.
Аналогично этому, поле ускорений делает свой вклад в метрику
пространства-времени, и в веществе физической системы, и за его
пределами. [22]
Концепция поля ускорений позволяет
в ковариантном виде в искривлённом пространстве-времени определить обобщённый
4-импульс, [23] энергию, импульс и полный 4-импульс
физической системы с учётом частиц и полей, [5] а также
псевдотензор момента импульса. [6]
Другие подходы
Изучая лоренц-ковариантность 4-силы,
Friedman и Scarr нашли не полную ковариантность выражения для 4-силы в виде
[24] Это привело их к выводу, что
4-ускорение в специальной теории относительности должно быть выражено с помощью
некоторого антисимметричного тензора
:
![]()
Исходя из анализа различных видов
движения, они оценили требуемые для них значения компонент тензора
, дав тем самым этому тензору косвенное
определение.
В отличие от этого, согласно (5)
плотность 4-силы равна
а в (4)
Таким образом, в искривлённом
пространстве-времени 4-ускорение элемента вещества будет
.
С учётом этого, тензор
с точностью до знака и постоянного множителя
имеет тот же смысл, что и тензор поля ускорений
.
Mashhoon и Muench рассматривали
преобразование инерциальных систем отсчёта, сопутствующих ускоренной системе
отсчёта, и пришли к соотношению: [25]
![]()
Тензор
имеет те же свойства, что и тензор поля ускорений ![]()
Использование в общей теории относительности
Функция действия в общей теории относительности (ОТО)
может быть представлена как сумма четырёх членов, отвечающих соответственно за
метрику пространства-времени, за материю в виде вещества, за электромагнитное
поле и за поле давления:
![]()
В функцию действия можно включать
дополнительные члены, если требуется учесть другие поля. Первый, второй и
третий члены действия имеют стандартный вид: [8]
![]()
![]()
![]()
где
есть
электромагнитный 4-потенциал.
Член
,
отвечающий за вклад давления в функцию действия, оказывается различным у разных
авторов, в зависимости от того, как давление связано с упругой энергией, и
является ли поле давления скалярным или считается векторным полем. Заметим, что
в ОТО гравитационное поле входит в функцию действия не прямо, а косвенно, через
метрический тензор. При этом как правило поле давления считается скалярным
полем.
В отличие от этого, в ковариантной теории гравитации (КТГ)
вместо члена
используется
член
,
связанный с полем ускорений, и функция действия может быть записана так: [4]
![]()
Здесь
![]()
![]()
где
–
4-потенциал поля
давления,
–
коэффициент поля давления,
– тензор поля давления,
.
В случае прямолинейного движения
твёрдого тела без вращения будут выполняться соотношения:
,
,
и в члене
получается
соотношение
. В этом частном случае видно, что
член
отличается
от члена
дополнительным
слагаемым, связанным с энергией поля ускорений. Это является следствием того,
что в КТГ поле ускорений представляет собой векторное поле, тогда как как в ОТО
поле ускорений используется фактически как скалярное поле, не зависящее от скоростей
частиц. В обеих теориях поле ускорений позволяет определить вклад энергии покоя
частиц в общую энергию системы из частиц и полей. Однако применение поля
ускорений в виде скалярного поля в ОТО по своей форме не согласуется с
векторной природой электромагнитного поля. Действительно, в предельном случае,
когда в учёт берутся только ускорения частиц и электромагнитные силы, ускорение
должно быть двухкомпонентным, как это имеет место для ускорения от действия
двухкомпонентной силы Лоренца. Но такое возможно лишь в случае, когда поле
ускорений само является
векторным полем. Улучшить ситуацию можно, если приписать метрическому
полю
в
ОТО кроме функции гравитационного поля ещё и функцию векторной компоненты поля
ускорений, однако это ещё более усложняет и запутывает уравнения теории.
Следует заметить, что в общем
случае произвольного движения вещества соотношение
уже не выполняется и КТГ
перестаёт совпадать с ОТО в способе описания энергии покоя физической системы.
Это означает, что в ОТО движение вещества рассматривается упрощённо, как
прямолинейное движение твёрдого тела, тогда как в КТГ использование 4-потенциала
поля ускорений
позволяет
учесть внутреннее движение вещества в каждом выделенном элементе объёма.
Например, при вращении частицы по окружности 4-потенциал
вещества
частицы будет зависеть от местоположения этого вещества относительно линии
окружности, так как скорость вещества частицы зависит от радиуса вращения.
См. также
Ссылки
Внешние ссылки
Источник: http://sergf.ru/af.htm