Материал
из свободной русской энциклопедии «Традиция»
Дискретность параметров звёзд есть свойство распределения наблюдаемых звёзд, при котором значения некоторых их параметров оказываются предпочтительными и более распространёнными, чем другие.
С физической точки зрения, причиной дискретности параметров звёзд является дискретность, связанная с уравнениями состояния вещества звёзд и с фазовыми переходами в этом веществе. Эта дискретность приводит к разбиению всех звёзд на различные типы, такие как звёзды главной последовательности, субкарлики, гиганты, сверхгиганты, белые карлики и нейтронные звёзды. Для звёзд главной последовательности важна также первичная дискретность, возникающая от различных масс, моментов импульса и температуры газовых облаков, из которых формируются звёзды.
Идея
дискретности параметров звёзд согласуется с теорией бесконечной вложенности материи, подобием уровней материи и квантованностью
параметров космических систем. Это связано с тем, что планетные системы
звёзд во многом подобны атомам, а на атомном уровне материи дискретны как массы
атомов, так и другие их параметры, включая электрический заряд и магнитный
момент. Подобие между атомами и звёздами вносит в описание дискретности
параметров звёзд существенные особенности, уточняющие наше представление об
эволюции космических объектов под действием фундаментальных сил.
Содержание
|
Р. Олдершоу (Robert L. Oldershaw) [1] с 70-х годов занимается исследованием иерархической структуры Вселенной и дискретностью параметров её объектов. Соотношения между размерами, длительностями процессов и массами подобных объектов в его модели имеют вид: [1]
![]()
где N означает номер уровня материи, например уровня звёзд; N-1 означает номер нижележащего уровня материи, например атомного уровня материи; Λ и X – безразмерные коэффициенты, подлежащие определению.
В предположении, что Вселенная является фрактальной и состоит из самоподобных объектов, используется следующая формула: [2]
![]()
где no – количество объектов уровня N-1, входящих в
состав уровня N; D – константа подобия или
фрактальная размерность. Если считать, что
,
то отсюда следует, что
.
При установлении подобия между атомами и звёздами у Олдершоу
возникает вопрос – какому атому соответствует Солнечная система? В качестве
первого приближения он рассматривает Юпитер и Солнце в качестве некоторого
аналога атома водорода. Для радиуса орбиты и скорости электрона в атоме
водорода в теории Бора имеют место следующие соотношения:
![]()
где n – главное квантовое число, a0 – радиус Бора, v0 – скорость электрона на радиусе Бора при n = 1.
В модели Олдершоу скорости подобных объектов, определяемые как изменения соответствующих расстояний за единицу соответствующего времени, имеют коэффициент подобия, равный единице. Это следует из того, что при переходе с низшего уровня материи на более высокий уровень расстояния и промежутки времени умножаются на один и тот же коэффициент Λ, и скорости остаются прежними. Отсюда для радиуса орбиты RJ = 5,203 а.е., и скорости движения VJ = 13,1 км/c Юпитера должно быть:
![]()
![]()
Исходя из большого значения
,
Солнечная система предполагается подобной ридберговскому
атому. Хотя Олдершоу определяет Λ через сопоставление Солнечной системы и атома
водорода, но для определения коэффициента подобия по массе он не сравнивает
между собой массы Солнца и ядра атома водорода (или массы Юпитера и электрона).
Вместо этого он полагает, что часто наблюдаемые звёзды спектрального класса M,
с массой порядка 0,145Mc (где Mc – масса Солнца), являются звёздным аналогом
атома водорода, с массой Mp.
Тогда коэффициент подобия по массе равен
,
.
В качестве дополнительного довода в пользу такого определения используется то, что планетарные туманности с находящимися внутри них белыми карликами с типичными массами 0,58Mc ассоциируются как звёздные аналоги положительного иона гелия, содержащего в себе четыре нуклона. При таком подходе звёзды спектрального класса K подобны ядрам гелия, а Солнце должно быть аналогом нуклида, содержащего 7 нуклонов, как у лития. Более массивные звёзды главной последовательности, гиганты и супергиганты рассматриваются как звёздные аналоги ридберговских атомов и ионов. Поскольку вещество связанного в атоме электрона предполагается каким-то образом распределённым по объёму атома, вещество звёздного аналога электрона в планетных системах может быть в виде сферической оболочки звезды при малых n, либо находиться в виде планет при больших n. Отталкиваясь от радиусов атомов и ионов в обычных и вплоть до самых высоковозбуждённых ридберговских состояний, и умножая эти радиусы на Λ, Олдершоу моделирует наблюдаемые радиусы звёзд главной последовательности, гигантов и супергигантов. В Таблице 1 приведены массы звёзд нижней части главной последовательности, которые ожидаются в модели Олдершоу.
|
Таблица 1. Ожидаемая дискретность масс
звёзд |
|||
|
Атомы / Изотопы |
Число нуклонов, N |
Атомная масса, а.е.м. |
Предсказанная масса звёзд, |
|
H1 |
1 |
1,008 |
0,146 |
|
H2 |
2 |
2,014 |
0,292 |
|
He3, (H3) |
3 |
3,016 |
0,437 |
|
He4 |
4 |
4,003 |
0,580 |
|
Стабильные ядра с 5 нуклонами отсутствуют |
– |
«Щель» в распределении масс ядер |
«Щель» в распределении масс звёзд при 0,73 |
|
Li6, (He6) |
6 |
6,015 |
0,872 |
|
Li7, (Be7) |
7 |
7,016 |
1,017 |
|
Li8, (Be8, B8) |
8 |
8,005 |
1,160 |
|
Be9, (Li9) |
9 |
9,012 |
1,306 |
Переменные звёзды Олдершоу также уподобляет ридберговским атомам. В частности звёзды типа RR Lyrae полагаются аналогом нейтрального атома гелия, в котором происходят переходы электронов между состояниями с главным квантовым числом n от 7 до 9. [3] В ридберговских атомах для движения электрона, как и в планетных системах для движения планет, выполняется соотношение между квадратом периода орбитального вращения и кубом радиуса орбиты: p2 = k1r3. Данное соотношение Олдершоу переносит и на переменные звёзды различных типов, пересчитывая коэффициенты k1 в коэффициенты для уровня звёзд путём умножения на Λ. Тем самым он связывает периоды колебаний блеска переменных звёзд с их радиусами.
До 1985
г. Олдершоу считал, что объекты какого-либо уровня
материи состоят в основном из объектов более низкого уровня материи почти без
изменения их состояния. Затем он изменил свою точку зрения, определив чёрным
дырам доминирующую роль в космологической иерархии. В таком случае объекты
низших уровней материи образуют наблюдаемую массу, однако эти объекты
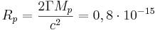
кардинально изменяются в сингулярностях чёрных дыр. Из полученных Олдершоу коэффициентов подобия по размерам и времени
вытекает,
что радиус звезды – аналога протона можно получить путём умножения радиуса
протона на Λ.
При этом получается приблизительно такой же радиус, какой имела бы эта звезда с
её массой M =
0,145Mc, если бы она была чёрной дырой:
м,
где
– гравитационная
постоянная, c – скорость света.
То, что карликовые звёзды спектрального класса M, полагающиеся звёздным аналогом протона, имеют значительно большие радиусы, объясняется тем, что эти звёзды находятся в возбуждённом состоянии. Олдершоу также применяет формулу Шварцшильда для радиуса чёрной дыры, чтобы оценить радиус протона:
м,
где
м3·с–2·кг–1
– предполагаемая Олдершоу постоянная сильной гравитации, которую он
находит через обычную гравитационную постоянную и коэффициенты подобия с
помощью соотношений размерности.
Белые
карлики средних масс, исходя из их типичных масс около 0,45Mc и 0,6Mc
, Олдершоу полагает звёздными аналогами положительных
ионов гелия He(3) и He(4) в основном
состоянии. Путём умножения радиуса иона гелия (0,4a0) на Λ он получает
значение порядка 107 м как радиус типичных белых карликов. Радиус
белых карликов уменьшается с ростом массы, что согласуется с уменьшением
радиусов водородоподобных ионов при увеличении их массы и заряда. При этом
отмечается, что морфология планетарных туманностей, окружающих некоторые белые
карлики, во многом подобна морфологии электронно-волновой функции в атомах.
Периоды вращения белых карликов группируются вблизи значений
секунд
и
с.
Если разделить эти периоды на коэффициент подобия по времени
,
получаются
секунд
и
c
соответственно. Данные периоды оказываются близкими к периодам колебаний
электромагнитного излучения при переходах электрона в ионах гелия. [4] Такое совпадение частично можно объяснить тем, что
частота излучения электрона близка к частоте его орбитального вращения в атоме,
а движение электрона управляется действием сильной
гравитации, приблизительно равной по величине электрической силе.
Получается, что вращение электрона в некоторой степени подобно вращению
поверхности белых карликов.
Олдершоу замечает, что многие
звёздные системы демонстрируют зависимость момента импульса от квадрата массы
вида J = KM2,
а атомные системы – зависимость вида j = km2, где
коэффициенты K
и k
имеют размерность
.
Отношение
может быть найдено с помощью коэффициентов
подобия и теории размерности:
![]()
Логарифм
отношения
равен –38,51 , что согласуется со средними
эмпирическими оценками, дающими значение
.
Точно также выводится корреляция для зависимостей между магнитным моментом и
спином для звёздных и атомных систем:
,
.
Из коэффициентов подобия следует
,
а наблюдения дают
.
Массы атомов почти полностью определяются массами их ядер и варьируются от 1,00794 а. е. м. = 1,6737∙10−27 кг для водорода до приблизительно 207,9766521 а. е. м. для самого тяжёлого стабильного изотопа — свинца-208. Более массивные атомы содержат радиоактивные ядра и с течением времени распадаются. Массы звёзд главной последовательности обычно не превышают 50 масс Солнца Mc, и могут быть менее 0,1Mc.
Для определения аналога Солнечной системы на уровне атомов Сергей Федосин применил математическую процедуру, основанную на двух идеях: 1) Количество планет в Солнечной системе равно 8, если не считать Плутон настоящей планетой ввиду его малой массы и размеров (почти как у астероида Цереры), очень большого наклона орбиты к эклиптике, значительного эксцентриситета, медленного собственного вращения, направленности собственного момента импульса не перпендикулярно плоскости эклиптики (как у большинства других планет), а параллельно эклиптике. 2) Массы звёзд, в том числе и Солнца, являются дискретными приблизительно так же, как это имеет место у атомов.
Отсюда следует, что Солнечная система по количеству планет как аналогов электронов может быть подобна атому изотопа кислорода или фтора, имея соответствующее атомное число Ac. Для проверки этого предположения составляется пропорция:
![]()
где Ms − точно известная масса некоторой звезды, A − массовое число для этой звезды.
Равенство
(1) аналогично равенству M1
/ M2 = A1 / A2
для отношения масс двух нуклидов и отношения их массовых чисел. Из (1)
можно определить массовое число звезды через её массу:
. Если бы дискретность масс звёзд была
достаточно точной, то тогда при правильном выборе массового числа Ac для Солнца массовые числа различных
звёзд Ai были бы почти целыми числами, и выполнялось
бы условие:
![F(A_{c})=\sum _{{i=1}}^{{n}}{\mid A_{i}-[A_{i}]\mid }\rightarrow 0,](dps.files/image042.gif)
где [Ai] есть целая часть числа Ai для i-ой звезды, и функция F(Ac) при некотором выборе Ac имеет минимум.
Точные
массы звёзд находились из каталога Свечникова, [5] и
данных других авторов, а функция F(Ac)
вычислялась для различных Ac в диапазоне от 15 до 21. В результате
оказалось, что минимум функции F(Ac)
достигается при Ac = 18, так что Солнечная система оказывается аналогом
стабильного изотопа кислорода O(18). Отсюда вытекает следующее: 1) Ядру атома
водорода соответствует звезда с минимальной массой порядка Mc / 18 = 0,056Mc,
что составляет 58 масс Юпитера. Такие звёзды сейчас открыты и называются
коричневые карлики. 2) Коэффициент подобия по массе между атомами и звёздами
главной последовательности равен отношению массы Солнца к массе нуклида с
атомным числом, равным 18. Это даёт значение коэффициента подобия
3) Электрон соответствует планете с массой,
равной 10,1 массы Земли, что меньше массы Урана. [6]
Основная статья: Главная последовательность
Результаты
исследований различных параметров звёзд, усреднённых по множеству хорошо
изученных звёзд главной последовательности, приведены в Таблице 2. [6] Для звёзд с массами 0,85Mc и менее в скобках дополнительно приведены
более точные средние радиусы, измеренные с помощью интерферометра с длинной базой. [7]
|
Таблица 2. Характеристики звёзд главной
последовательности |
||||||
|
Масса, |
Спектральный |
Радиус, |
Светимость, |
Температура, |
Плотность, |
Болометрическая |
|
26 |
O8 |
8,7 |
180000 |
40400 |
56 |
−8,4 |
|
20,5 |
O9 |
7,4 |
93600 |
37200 |
71 |
−7,7 |
|
13,3 |
B0 |
6 |
22400 |
28800 |
87 |
−6,1 |
|
11,1 |
B1 |
5,4 |
12900 |
26400 |
99 |
−5,5 |
|
9,4 |
B2,5 |
4,9 |
7850 |
24600 |
113 |
−5 |
|
6,55 |
B2,9 |
4,05 |
1990 |
19200 |
139 |
−3,5 |
|
6,11 |
B3 |
3,85 |
1484 |
18300 |
150 |
−3,2 |
|
4,89 |
B4 |
3,35 |
593 |
15600 |
183 |
−2,2 |
|
4,39 |
B5 |
3,1 |
344 |
14150 |
208 |
−1,6 |
|
4 |
B7 |
2,9 |
238 |
13350 |
230 |
−1,2 |
|
3,2 |
B8− B9 |
2,5 |
103 |
11650 |
289 |
−0,3 |
|
2,8 |
A0 |
2,25 |
66 |
11000 |
346 |
0,2 |
|
2 |
A5 |
1,75 |
20 |
9230 |
526 |
1,5 |
|
1,8 |
F0 |
1,6 |
13,7 |
8800 |
620 |
1,9 |
|
1,5 |
F5 |
1,4 |
6,54 |
7820 |
770 |
2,7 |
|
1,33 |
G0 |
1,28 |
4,1 |
7280 |
840 |
3,2 |
|
1,07 |
G5 |
1,05 |
1,49 |
6240 |
1300 |
4,3 |
|
0,85 |
K0 |
0,88 (0,8) |
0,545 |
5300 |
1760 |
5,4 |
|
0,65 |
K5 |
0,72 (0,61) |
0,22 |
4650 |
2480 |
6,4 |
|
0,52 |
M0 |
0,6 (0,48) |
0,0944 |
4140 |
3400 |
7,3 |
|
0,22 |
M5 |
0,3 (0,23) |
0,0065 |
3000 |
11500 |
10,2 |
|
0,11 |
M7,25 |
0,17 (0,13) |
0,001 |
2520 |
31600 |
12,2 |
|
0,056 |
M8,5 |
0,128 (0,07) |
0,0001 |
1630 |
38000 |
14,7 |
В Таблице 2 характеристики звёзд указаны по отношению к массе Mc, радиусу
Rc и светимости
Wc Солнца; приведены эффективные температуры Teff поверхности звёзд в кельвинах, средние
плотности вещества звёзд и их болометрические звёздные величины, учитывающие
полное излучение от звёзд. С помощью этих данных могут быть построены различные
плавные кривые, например, зависимость радиуса звёзд от их массы.
На основе
характеристик звёзд из Таблицы 2 и представления о том, что Солнечная система
является аналогом изотопа кислорода O(18), можно вначале построить усреднённую
зависимость спектрального класса звёзд от их массы, а затем с помощью
соотношения (1) найти массовые числа A
звёзд как функцию от массы Ms. Так как
массовые числа звёзд и подобных им атомных ядер совпадают, то становится
возможным найти соответствие между спектральными классами звёзд и химическими
элементами согласно Таблице
3. [6]
|
Таблица 3. Соответствие между
спектральными классами звёзд и химическими элементами |
|
|
Спектральный класс |
Химические элементы |
|
B0 |
Fr, Ra, Ac,
Актиниды, Ku, Nc, и т.д. |
|
B1 |
Au, Hg, Tl, Pb, Bi, Po, At, Rn. |
|
B2,5 |
Cs, Ba, La, Лантаниды, Hf, Ta, W, Re, Os, Ir,
Pt. |
|
B2,9 |
Ag, Cd, In, Sn, Sb, Te, I, Xe. |
|
B3 |
Ru, Rh, Pd.
|
|
B4 |
Rb, Sr, Y, Zr, Nb, Mo, Tc. |
|
B5 |
As, Se, Br,
Cr. |
|
B7 |
Cu, Zn, Ga, Ge.
|
|
B8−B9 |
Fe, Co, Ni. |
|
A0 |
Sc, Ti, V, Cr,
Mn. |
|
A1 |
Ca |
|
A2−A4 |
Ar, K. |
|
A5−A6 |
Cl |
|
A7−F0 |
S |
|
F2 |
P |
|
F3−F8 |
Si |
|
F8,5 |
Al |
|
F9−G0 |
Mg |
|
G1 |
Na |
|
G2−G4 |
Ne |
|
G5 |
F |
|
G7−K1 |
O |
|
K2 |
N |
|
K2,5−K7 |
C |
|
M0 |
Be, B. |
|
M4 |
Li |
|
M5 |
He |
|
M7,25 |
D (дейтерий) |
|
M8,5 |
H |
Из Таблицы 3 видно, что практически все звёзды
главной последовательности находятся в соответствии с химическими элементами
таблицы Менделеева. Звёзды спектрального класса O, являющиеся сверхгигантами, а
также сверхтяжёлые химические элементы в данной таблице отсутствуют ввиду их
крайней малочисленности. В частности оценка количества
звёзд спектрального класса O в галактике Большое Магелланово Облако даёт их
число не более 1000, при общем количестве звёзд в галактике порядка 1010.
[8]

Рисунок 1. Реальное
относительное распределение концентрации звёзд после пересчёта на их видимость.
Цифры у изломов кривой показывают массовые числа звёзд.
Дискретность
параметров звёзд главной последовательности проявляется в том, что звёзды с
некоторыми значениями масс оказываются значительно более распространёнными в
количественном отношении, чем звёзды с другими значениями масс. Это
демонстрируют каталоги звёзд, содержащие десятки и даже сотни тысяч звёзд,
которые можно расположить на плоскости в координатах «абсолютная звёздная
величина – спектральный класс», с указанием их количества в каждой точке
плоскости. Например, в Мичиганском спектральном каталоге звёзд [9] хорошо видно, что в спектральных классах вблизи A0 и
F5 имеются локальные максимумы количества звёзд. С помощью Таблицы 2 от
спектральных классов звёзд можно перейти к массам звёзд, а из соотношения (1)
вычислить атомные массы A этих звёзд. Такой же результат получается и
из Таблицы 3, связывающей спектральные классы звёзд и соответствующие
химические элементы. Это позволяет построить на основе Мичиганского
спектрального каталога зависимость относительной распространённости звёзд от их
массового числа. При этом необходимо ввести поправку на то, что наблюдаемая
распространённость звёзд отличается от реальной за счёт разной светимости звёзд
(яркие звёзды видны издалека на таких расстояниях, при которых имеющиеся слабые
звёзды уже перестают обнаруживаться). Если
– видимое число звёзд со светимостью Ws,
то настоящее число этих звёзд G в первом приближении определяется формулой: [6]
![]()

Рисунок 2. Химический состав
Солнца по сводке Аллена. [10] Число атомов кремния
принято равным 106.
Реальное
распределение звёзд показано на рисунке 1, и его можно сравнить с
распределением химических элементов. Известны два основных распределения
химических элементов – первое для метеоритов и земной коры, а второе для
Солнца, планетарных туманностей и звёзд. Оказывается, что существует близкое
сходство распределения распространённости звёзд в Галактике, и распределения
химических элементов в Солнце и звёздах на рисунке 2. Подобие обоих
распределений подчёркивается ещё и тем, что в диапазоне массовых чисел от 35 до
55 на обоих рисунках имеется провал, после которого на рисунке 2 начинается так
называемый железный пик. Из рисунков следует, что во вселенной преобладают
маломассивные химические элементы и соответствующие им звёзды.
Более
70 % всех наблюдаемых звёзд входят в двойные и кратные системы, [11] подобно тому, как атомы соединяются в молекулы. С
помощью определения элементов орбит у визуальных двойных звёзд можно очень
точно находить массы компонент. Исследование каталогов двойных звёзд позволяет
показать, что большинство звёзд в парах соединяются так же, как соответствующие
им по массе атомы образуют химические молекулы. При расстояниях между
компонентами пар менее 50 а.е. наблюдаются экстремумы в распределении углового
разделения компонент, подобные распределению длин связей в двухатомных молекулах.
Отношение расстояний между компонентами звёзд к длине связи соответствующей
молекулы даёт оценку коэффициента подобия по размерам, близкую к коэффициенту
подобия по размерам между атомом водорода и соответствующей планетной системой:
.
[6]
Распределение плоскостей орбит двойных звёзд в Галактике достаточно хаотично, однако долгопериодические звёздные пары большей частью имеют то же направление вращения, что и Галактика в целом. [12] Для короткопериодических двойных ситуация обратная, что является следствием дифференциального вращения и динамики взаимодействия при сближениях звёзд. В Галактике звёзды группируются в тесные группы, рассеянные и шаровые скопления, входят в состав диска и сферической составляющей. Если считать звёзды подобными атомам, то с точки зрения подобия уровней материи все известные галактики по количеству составляющих их звёзд подобны пылинкам соответствующего химического состава, причём массы и размеры галактик и пылинок связаны между собой коэффициентами подобия. Концентрация звёзд в Галактике такова, что она соответствует некоторому достаточно разрежённому газу сложного химического состава, и лишь при радиусе менее 0,047 пк должно появляться «твёрдое вещество», подобное по плотности коксу, вращающееся твердотельно относительно центра инерции Галактики. В центральной части Галактики и в диске преобладают массивные звёзды, соответствующие атомам металлов и тяжёлых неметаллов, а более лёгкие звезды в сферической составляющей Галактики являются аналогами летучих газов типа кислорода, азота, водорода и т.д. Кроме этого, если двигаться от центра Галактики наружу и рассматривать количество металлов в попадающихся звёздах, то оно также будет непрерывно уменьшаться, отражая тем самым закономерную эволюцию звёзд в галактиках.
Дискретность
параметров космических объектов не останавливается на звёздах, она
обнаруживается и на уровне галактик. Например, наша Галактика имеет массовое
число A = 18
− 20 и приблизительно соответствует кислороду. Это следует из
коэффициентов подобия и количества карликовых галактик, окружающих Галактику
наподобие электронов в атоме кислорода. Тесная группа галактик, состоящая из
Галактики и Большого и Малого Магеллановых облаков, может рассматриваться как
молекула воды. [6] Соседняя большая
галактика, галактика Андромеды, имеет массовое число вплоть до A = 39 − 44
и образует своеобразную молекулу с галактикой Треугольника (A = 2 − 3).
Характерная скорость
частиц вещества объекта, удерживаемого в
гравитационном поле, определяется выражением: [6]
![]()
где m
и R
– масса и радиус объекта,
– гравитационная
постоянная, k – коэффициент, зависящий от распределения
вещества, в случае однородной плотности вещества k = 0,6.
Данное
равенство является соотношением между внутренней энергией объекта как
кинетической энергией частиц его вещества, и энергией объекта в поле
гравитации. Абсолютная величина полной энергии E0 пропорциональна
массе, что проявляется как эквивалентность
массы и энергии. Из равенства (2) можно находить характерные скорости через
массы объектов, при этом из дискретности масс звёзд главной последовательности
вытекает дискретность их характерных скоростей, а также полных энергий звёзд.
Для звезды с минимальной массой 0,056Mc характерная скорость её вещества равна Cs = 220 км/c. Аналогом данной звезды является протон,
характерная скорость вещества которого равна скорости света c. Отношение
указанных скоростей задаёт коэффициент подобия по скоростям
для водородной
системы.
Если
рассматривать водородоподобные атомы и соответствующие им звёздно-планетные
системы, то скорость движения электрона в атоме будет пропорциональна
заряду z
атомного ядра, а скорость движения планеты – пропорциональна массовому
числу A. Отсюда следует, что коэффициент
подобия по скоростям между атомами и звёздами пропорционален отношению
:
. В предположении, что это же справедливо для
скоростей вещества в звезде, для характерной скорости и полной энергии звёзд
главной последовательности получаются выражения:
![]()
![]()
Данные
соотношения хорошо аппроксимируют результаты многочисленных вычислений полных
энергий звёзд, выполненные различными способами многими авторами (см. ссылки в
Федосин С.Г., 1999. [6]). Для
водородоподобных систем коэффициент подобия по размерам имеет вид:
.
Скорости Cx являются граничными для максимальных
скоростей вращения поверхностей звёзд, а также для средних скоростей движения
звёзд относительно тех звёздных систем, в которых данные звёзды сформировались
(принцип локальной звёздной скорости).
Наблюдаемая дискретность масс, типичных размеров и угловых скоростей вращения звёзд приводит к дискретности моментов импульса собственного вращения звёзд. Для оценки величины характерного момента импульса для звёзд главной последовательности необходимо умножить постоянную Дирака на коэффициенты подобия:
Дж∙с.
Величина
задаёт орбитальный момент импульса
планеты – аналога электрона при её вращении в водородной системе вокруг звезды
минимальной массы, являющейся аналогом протона. С другой стороны,
почти точно равно моменту импульса собственного
вращения Солнца, который равен
Дж∙с.
[13] Характерный момент импульса
можно сравнить также с максимальным моментом
импульса вращения звезды минимальной массы. При предельном вращении звезды на
её экваторе равны ускорение силы тяжести и центростремительное ускорение:
![]()
где u – экваториальная скорость.
С учётом этого и параметров звезды минимальной массы из Таблицы 2 предельный спин звезды – аналога протона будет равен:
Дж∙с,
где Ks < 0,4 – коэффициент, зависящий от распределения вещества в звезде.
Аналогичная формула для предельного спина протона даёт:
Дж∙с,
где Kp < 0,4 – коэффициент, зависящий от распределения вещества в протоне, Γ – постоянная сильной гравитации.
Принцип неопределённости Гейзенберга для
изменения энергии квантового процесса и промежутка времени протекания этого
процесса устанавливает предельную связь с постоянной Дирака:
![]()
Подобное по смыслу соотношение для
уровня звёзд получится, если при свободном падении вещества массы
в область радиуса
за время
выделяется полная энергия гравитационной
связи
и образуется звезда минимальной массы:
Дж∙с,
где гравитационное ускорение оценивается по формуле
,
а радиус падения по формуле
.
В данном
соотношении произведение изменения энергии на время изменения по порядку
величины совпадает с
.
В Галактике при её образовании происходит разделение газовых облаков на
фрагменты, из которых возникают звёзды. Масса вещества, из которого возникает
та или иная звезда, не является изолированной, поскольку на неё действуют силы
гравитации со стороны других фрагментов. Вследствие этого реальное время
образования звёзд при массах менее 3Mc определяется временем аккреции оболочки tac, а при
больших массах – временем Кельвина-Гельмгольца
tKH.
Произведение энергии звёзд и реального времени их образования в Галактике
задаёт новый характерный момент импульса
.
Данный момент импульса близок по величине к среднему орбитальному моменту звёзд
в Галактике. Для Солнца орбитальный момент импульса равен
Дж∙с. С другой
стороны, с помощью коэффициентов подобия для галактик находится почти то же
самое
Дж∙с.
[6]
Все известные звёзды можно разделить на два больших класса – немагнитные и магнитные. Разделение это в некоторой степени условное, поскольку у немагнитных звёзд мало общее дипольное магнитное поле, но в отдельных точках поверхности могут быть значительные локальные магнитные поля. У магнитных звёзд существует зависимость между моментом импульса собственного вращения и суммарным магнитным моментом, а также наблюдается изменение знака и переворот дипольного магнитного момента, как на Солнце. Магнитные звёзды обычно вращаются медленнее в 2 - 4 раза, чем немагнитные, а в составе их вещества наблюдается избыток элементов типа железа и редкоземельных элементов.
На рисунке 3 представлено распределение магнитных звёзд по спектральным классам и напряжённостям поля на поверхности, показывающее явную дискретность магнитных свойств. Наибольшими магнитными полями обладают звёзды в спектральном классе A0. Если с помощью Таблицы 3 найти аналоги этим звёздам на уровне атомов, то получаются атомные ядра типа Sc(45), Ti(47), Ti(49), V(50), V(51), Cr(53), Mn(55), Co(59). И действительно, среди атомных ядер именно эти ядра обладают наибольшими магнитными моментами, если не считать крайне редко встречающиеся нуклиды Nb(93), Tc(99), In(113). Магнитные звёзды видны и в спектральных классах вблизи A2, A3, F0, F2, F5, которым соответствуют магнитные нуклиды Ca(43), K(39-41), Cl(35-37), S(33-35), P(31), Si(29), Al(27). Наконец, спектральному классу M соответствуют такие магнитные нуклиды, как He(3), Li(7), Be(9), B(10-11). Как можно объяснить столь похожие распределения по магнитным свойствам у звёзд и у подобных им ядер атомов? Согласно одному из предположений, подобие звёзд и атомных ядер по массам дополняется тем, что звёзды содержат в себе увеличенные концентрации тех атомов, которым эти звёзды подобны.
Существуют
две основные гипотезы, описывающие магнитные поля звёзд. Магнитное динамо
предполагает, что возможно самоподдерживающееся магнитное поле за счёт
конвективных потоков электропроводящего вещества в недрах звёзд и планет,
эффекта электромагнитной индукции и центростремительных сил от вращения. Однако
до сих пор нет согласованного механизма динамо даже для Солнца, которое бы
точно учитывало смену знака его дипольного магнитного поля. [15] В другой гипотезе происхождение магнитного поля
звёзд связывается с их вращением. Замечено, что магнитные моменты планет, звёзд
и даже галактик на зависимости «магнитный момент – спин» находятся внутри двух
параллельных линий. [6] Верхняя линия
соответствует с учётом коэффициентов подобия магнетону Бора, а нижняя прямая
соответствует ядерному магнетону. Наклон линий равен единице, так что магнитные
моменты прямо пропорциональны спину (для планет пропорциональны спину ядер
планет). В своей электрокинетической модели Сергей Федосин обосновывает
возникновение магнитного поля на основе представления о разделении зарядов в
веществе космических тел. В данной модели величина магнитного поля оказывается
пропорциональной угловой скорости вращения тела и радиусу конвективного слоя.
При этом вычисляются периоды изменения полярности магнитного поля Земли и
Солнца через размеры конвективного слоя и скорость конвекции вещества.
Солнечная активность оказывается следствием периодического преобразования
тепловой энергии в электромагнитную форму энергии. [16] [17]
В отличие от звёзд главной последовательности, плотности вещества у белых карликов и нейтронных звёзд гораздо выше, равняясь по порядку величины до 109 кг/м3 и 1017 кг/м3 соответственно. Если в обычных звёздах гравитационное давление уравновешивается давлением термически ионизованной плазмы, в белых карликах – давлением электронов, то в нейтронных звёздах силе гравитации противостоит давление вырожденного нейтронного газа. Белые карлики являются по сути ядрами обычных звёзд, в которых термоядерные реакции доходят до финишной стадии со сбросом оболочки звезды на стадии красного гиганта. Считается, что все звёзды с массами до 12Mc должны превращаться в белые карлики. Существует предел Чандрасекара, равный приблизительно 1,4Mc, при превышении которого белый карлик может превратиться в нейтронную звезду. Химический состав белых карликов определяется начальной массой звёзд, из которых они образуются. В зависимости от начальной массы, термоядерные реакции происходят с выгоранием водорода и превращением его в гелий, гелий также может выгорать, давая углерод и более массивные ядра кислорода, неона, магния. В результате возможны плотные водородные звёзды малой массы, а также гелиевые, углеродные и более сложные по составу белые карлики, и на дискретность масс звёзд главной последовательности накладывается дополнительная дискретность, связанная с эволюцией и химическим составом возникающих белых карликов.
Теоретический диапазон изменения масс нейтронных звёзд лежит в пределах от (0,1 − 0,2)Mc до (2,5 − 3)Mc. Низший предел массы связан с неустойчивостью вещества в виде нейтронной жидкости из-за малого гравитационного давления в звезде, что может привести к распаду маломассивной звезды взрывным способом. Верхний предел массы имеет название предел Оппенгеймера-Волкова. Предполагается, что при больших массах давление гравитации преодолевает межнуклонные силы отталкивания в звезде и она коллапсирует в более плотный объект типа гипотетических кварковых звёзд или чёрных дыр. Большинство наблюдаемых масс нейтронных звёзд, достаточно точно находимых в двойных системах с пульсарами, не сильно отличается от предела Чандрасекара и равняется (1,33 − 1,45)Mc. Вероятно, отдельные нейтронные звёзды достигают массы 1,7Mc и более. Такая дискретность масс объясняется уравнением состояния вещества и стандартным способом образования звёзд во вспышках сверхновых, когда лишняя масса сбрасывается с поверхности возникающей нейтронной звезды. Радиусы звёзд находятся в диапазоне от 11 до 15 км, неопределённости здесь возникают от неточного знания уравнений состояния в теоретическом моделировании, и от неоднозначности интерпретации наблюдаемого радиуса фотосферы по отношению к радиусу звезды.
С помощью соотношения (2) можно вычислить, что характерная скорость частиц вещества Cx у белых карликов находится в диапазоне от 930 до 4000 км/c, а у нейтронных звёзд – от 17000 до 71000 км/c. У планет скорость Cx не превышает 52 км/c (для Земли она равна 4,3 км/c).
Если в иерархической модели Олдершоу
коэффициенты подобия между атомами и звёздами не зависят от типа звёзд, то в
модели Федосина это не так. В качестве модели протона рассматривается
нейтронная звезда с массой
кг,
радиусом
м
и характерной скоростью
м/с.
Соответствующие параметры протона: масса
кг,
радиус
м,
характерная скорость
м/с
(скорость света). Отсюда находятся коэффициенты подобия: по массе
,
по размерам
,
по скоростям
.
Коэффициент подобия по времени протекания процессов имеет вид
,
и он не равен коэффициенту подобия по размерам. [6] [16]
С помощью коэффициентов подобия и соотношений размерности физических величин можно вычислить характерный момент импульса компактных объектов в виде звёздной постоянной Дирака, электрический заряд и магнитный момент звезды – аналога протона:
Дж∙с,
Кл,
Дж/Тл.
Здесь e и Pmp – элементарный заряд и магнитный момент протона.
В
соответствии с субстанциональной моделью
нейтрона и субстанциональной моделью
протона предполагается, что аналогом нейтрона является обычная нейтронная
звезда, а аналогом протона – магнитар, несущий электрический заряд Qs и магнитный момент Pms. За счёт
своего большого заряда магнитар способен генерировать высокоэнергетические
космические лучи. [16] Для сравнения, в
модели Олдершоу исходя из его коэффициентов подобия
для звёзд также допускается значительный электрический заряд – порядка
Кл.
Пион
является адроном наименьшей массы, среди компактных объектов ему соответствует
нейтронная звезда с массой 0,2Mc. Мюону соответствует белый карлик с
массой 0,16Mc и радиусом
м. Поскольку заряженный пион превращается в
мюон, то ожидается, что нейтронная звезда – аналог пиона также со временем
превращается в белый карлик, за счёт реакций слабого взаимодействия в веществе
звезды. Атомным ядрам как соединениям нуклонов на уровне звёзд должны
соответствовать группы нейтронных звёзд, тесно связанных гравитационными силами
и полями кручения. Такие группы звёзд
могут находиться в массивных рентгеновских системах и в центрах галактик.
Нейтронная звезда, протон, а также и Метагалактика, рассматриваемые как релятивистская однородная система,
оказываются экстремальными объектами с точки зрения зависимости их
гравитационного поля от радиуса. [18]