Материал из свободной русской энциклопедии «Традиция»
Самосогласованные гравитационные константы есть полный комплект фундаментальных констант, которые являются самосогласованными и определяют различные физические величины, связанные с гравитацией. Данные константы вычисляются таким же способом, как и электромагнитные константы в электродинамике. Это возможно благодаря тому, что в приближении слабого поля уравнения общей теории относительности переходят в уравнения гравитоэлектромагнетизма, аналогичные по форме уравнениям Максвелла. Точно также в приближении слабого поля уравнения ковариантной теории гравитации переходят в уравнения лоренц-инвариантной теории гравитации (ЛИТГ). [1] Уравнениями ЛИТГ являются максвеллоподобные гравитационные уравнения, по форме совпадающие с уравнениями гравитоэлектромагнетизма. Если эти уравнения записывать с помощью самосогласованных гравитационных констант, возникает наибольшее подобие уравнений гравитационного и электромагнитного полей. Поскольку в 19 веке не было Международной системы единиц, первое упоминание о гравитационных константах вероятно сделал Forward (1961). [2]
· 1 Определение
·
2
Связь с массой Планка и массой Стони
· 3 Связь с постоянной тонкой структуры
· 4 Квант потока поля кручения сильной гравитации
· 5 См. также
· 6 Ссылки
· 7 Внешние ссылки
В первичный набор гравитационных констант входят:
1. Первая гравитационная константа
являющаяся скоростью
гравитационных волн; [3]
2. Вторая гравитационная константа
, которая является гравитационным
характеристическим импедансом вакуум (гравитационным волновым
сопротивлением вакуума).
Во вторичный набор гравитационных констант входят:
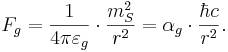
1. Гравитоэлектрическая константа (подобно электрической постоянной):
кг∙
с2 ∙м–3, где
– гравитационная
постоянная.
2. Гравитомагнитная константа (подобно магнитной постоянной):
Если
скорость гравитации равна скорости света,
то [2]
м / кг.
Первичный и вторичный наборы гравитационных констант являются самосогласованными, поскольку они связаны следующими соотношениями:

Если
то гравитационный характеристический импеданс
пустого пространства будет равен: [5] [6]
м2 /(с ∙ кг).
В лоренц-инвариантной теории гравитации величина
в случае
содержится в формуле для вектора плотности
потока энергии гравитационного поля (смотри вектор
Хевисайда): [3]
где:
есть напряжённость
гравитационного поля,
есть поле
кручения .
Если учесть максвеллоподобные
гравитационные уравнения, для плоской поперечной однородной гравитационной
волны, в которой для амплитуд напряжённостей полей выполняется соотношение
,
можно записать:
Аналогичное соотношение в электродинамике
для амплитуды потока плотности электромагнитной энергии плоской
электромагнитной волны в вакууме, в которой
,
имеет вид: [7]
![]()
где
– вектор Пойнтинга,
– напряжённость электрического поля,
– магнитная индукция,
– магнитная постоянная,
– электромагнитное волновое сопротивление
вакуума.
Гравитационное волновое сопротивление вакуума
было использовано в статье [8] для оценки сечения взаимодействия гравитонов с
веществом.
Связь с массой
Планка и массой Стони
Поскольку гравитационная постоянная и
скорость света входят в планковскую массу
, где
–
постоянная Дирака,
то гравитационный характеристический импеданс пустого пространства можно
представить так:
,
где
–
постоянная Планка.
Существует ещё масса Стони ,
связанная с элементарным электрическим зарядом
и электрической
постоянной
:
.
Масса Стони может быть выражена через планковскую массу:
,
где
есть электрическая постоянная тонкой структуры.
Отсюда следует ещё одно выражение для
гравитационного характеристического импеданса пустого пространства:
.
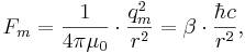
Закон Ньютона для гравитационной силы притяжения двух масс Стони может быть записан так:

Закон Кулона для электрической силы между двумя элементарными зарядами имеет вид:
![]()
Равенство
и
приводит к соотношению для массы Стони
указанному выше. Следовательно масса Стони может
быть определена из условия, что две такие массы взаимодействуют посредством
гравитации с такой же силой, как если бы эти массы имели заряды, равные
элементарному заряду, и взаимодействовали посредством только электромагнитных
сил.
Электрическая постоянная тонкой структуры равна:
![]()
Аналогично можно ввести соответствующую величину для гравитации:
с равенством обеих постоянных тонкой структуры
по величине.
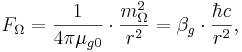
С другой стороны, гравитационная постоянная тонкой структуры для водородной системы и на уровне атомов и на уровне звёзд также равна электрической постоянной тонкой структуры:
,
где
– постоянная
сильной гравитации,
и
– массы протона и электрона,
и
– массы звезды-аналога протона и
планеты-аналога электрона соответственно,
– звёздная постоянная
Дирака,
– характерная
скорость вещества звёзд.
Квант потока поля кручения сильной
гравитации
Магнитная
сила между двумя фиктивными элементарными магнитными зарядами равна:

где
есть магнитный заряд,
есть магнитная константа взаимодействия для фиктивных магнитных
зарядов. [9]
Сила поля
кручения между двумя фиктивными элементарными торсионными массами
равна:

где
есть торсионная константа взаимодействия для гравитационной торсионной
массы
.
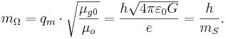
При равенстве
вышеуказанных сил находится равенство констант взаимодействия для магнитного
поля и поля кручения:
![]()
из которого
находится масса Стони
и гравитационная торсионная масса:


Вместо
фиктивного элементарного магнитного заряда qm = h / e в квантовой механике более важен квант магнитного потока
Вб. [10] С другой стороны на уровне атомов действует
сильная гравитация и необходимо использовать постоянную сильной гравитации. В этом случае должен быть важным
квант потока поля кручения сильной гравитации:
м2/с,
который связан с массой протона Mp и его квантом циркуляции скорости.
8.
Fedosin S.G. The graviton field as the source of mass and
gravitational force in the modernized Le Sage’s model. Physical
Science International Journal, ISSN: 2348-0130, Vol.
8, Issue 4, P. 1 – 18 (2015). http://dx.doi.org/10.9734/PSIJ/2015/22197.
// Поле гравитонов как источник гравитационной
силы и массы в модернизированной модели Лесажа.
9.
Yakymakha
O.L.(1989). High Temperature Quantum
Galvanomagnetic Effects in the Two- Dimensional Inversion Layers of MOSFET's (In Russian). Kiev: Vyscha Shkola. p.91. ISBN 5-11-002309-3. djvu.
Источник: http://sergf.ru/sk.htm